Indice
Introduzione
Spazio campione ed eventi
Probabilità
Esempio di calcolo di probabilità
La legge empirica del caso
Probabilità in spazi campione infiniti
Probabilità dell'unione di eventi
Probabilità dell'evento complementare
Probabilità condizionata
Eventi indipendenti
Diagrammi ad abero
Teorema di Bayes
Passaggio all'evento contrario
Probabilità delle prove ripetute
Gioco equo
Gioco non equo
Probabilità delle prove ripetute
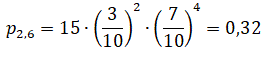
Supponiamo di avere un'urna con 10 palline identiche numerate da 1 a 10 e di eseguire 6 estrazioni consecutive rimettendo dopo ogni estrazione la pallina nell'urna. Qual è la probabilità che, su 6 estrazioni, per due volte esca una pallina con un numero multiplo di 3 e nelle restanti estrazioni un altro numero?
![]()
I multipli di 3 sono: 3, 6, 9 e l'evento E=esce un multiplo di 3 ha probabilità p=3/10, mentre l'evento contrario:
![]()
ha probabilità:
![]()
I due eventi:
![]()
sono indipendenti. Supponiamo che nelle prime due estrazioni si verifichi l'evento E e nelle successive quattro estrazioni l'evento contrario. La probabilità della sequenza:
![]()
E' dato dalla formula dell'intersezione per gli eventi indipendenti:
![]()
Ora, se l'ordine della sequenza degli eventi non è rilevante, bisogna considerare il numero delle possibili permutazioni con ripetizioni:
![]()
La probabilità che un evento si verifichi due volte su 6 è quindi:
![]()
In generale:
La probabilità che un dato evento si verifichi k volte su n prove indipendenti, è dato dalla formula:
![]()