Indice
Introduzione
Spazio campione ed eventi
Probabilità
Esempio di calcolo di probabilità
La legge empirica del caso
Probabilità in spazi campione infiniti
Probabilità dell'unione di eventi
Probabilità dell'evento complementare
Probabilità condizionata
Eventi indipendenti
Diagrammi ad abero
Teorema di Bayes
Passaggio all'evento contrario
Probabilità delle prove ripetute
Gioco equo
Gioco non equo
Probabilità dell'unione di eventi
L'unione di due eventi E1, E2 che si indica con E = E1 ∪ E2 è quell'evento che si verifica se e solo se si verifica almeno uno dei due eventi. Per determinare la probabilità dell'evento E unione dei due eventi E1, E2 dobbiamo distinguere due casi:
Primo caso: i due eventi sono tra loro incompatibili.
Ossia non si possono verificare contemporaneamente cioè E1 ∩ E2 = Ø
Ad esempio, nel lancio di un dato qual è la probabilità dell'uscita del numero 3 oppure di un numero pari?
I due eventi E1 = esce il numero 3, E2 = esce un numero pari sono incompatibili.
![]()
Lo spazio campione ha 6 esiti possibili, l'evento E1 ha un solo esito, l'evento E2 ha 3 esiti e quindi le loro probabilità sono:
![]()
La probabilità dell'evento E unione di due eventi incompatibili è data dalla somma delle probabilità dei singoli eventi:
![]()
Riassumendo: La probabilità dell'evento unione di due eventi incompatibili è dato dalla somma delle loro probabilità:
![]()
Secondo caso: i due eventi sono tra loro compatibili.
Ossia si possono verificare contemporaneamente cioè E1 ∩ E2 ≠ Ø
Ad esempio, nel lancio di un dato qual è la probabilità dell'uscita di un numero pari oppure di un numero multiplo di 3?
I due eventi E1 = esce il numero pari, E2 = esce un numero multiplo di 3 sono compatibili.
![]()
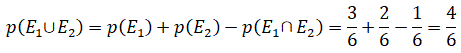
Lo spazio campione ha 6 esiti possibili, l'evento E1 ha 3 esiti, l'evento E2 ha 2 esiti e quindi le loro probabilità sono:
![]()
Calcoliamo la la probabilità dell'evento unione E = E1 ∪ E2. In questo caso dalla somma delle probabilità dei singoli eventi occorre togliere la probabilità dell'evento intersezione tra E1 e E2 altrimenti verrebbe contata due volte, una volta per E1 e una per E2. L'evento E1 ∩ E2 ha un solo esito e quindi la sua probabilità è 1/6. Pertanto la probabilità dell'evento unione è:
![]()
Riassumendo: La probabilità dell'evento E unione di due eventi compatibili è data dalla somma delle probabilità dei singoli eventi diminuita dalla probabilità della loro intersezione.
![]()
Osservazione: La formula della probabilità dell'unione tra due eventi compatibili è valida anche nel caso che i due eventi siano incompatibili perchè essendo E1 ∩ E2 = Ø l'evento intersezione è impossibile e quindi la sua probabilità è nulla.