Indice
Introduzione
Spazio campione ed eventi
Probabilità
Esempio di calcolo di probabilità
La legge empirica del caso
Probabilità in spazi campione infiniti
Probabilità dell'unione di eventi
Probabilità dell'evento complementare
Probabilità condizionata
Eventi indipendenti
Diagrammi ad abero
Teorema di Bayes
Passaggio all'evento contrario
Probabilità delle prove ripetute
Gioco equo
Gioco non equo
Teorema di Bayes
Iniziamo con un problema: Due macchine industriali A e B producono rispettivamente il 70% e il 30% del numero totale dei pezzi prodotti da una fabbrica. La percentuale di pezzi difettosi per la macchina A è il 2% e per la macchina B è il 5%. Si vuole sapere qual è la probabilità che, prendendo a caso un pezzo difettoso, esso sia prodotto dalla macchina A.
Indichiamo con S lo spazio campionario, cioè il 100% dei pezzi prodotti, con A l'evento il pezzo è prodotto dalla macchina A, con B l'evento il pezzo è prodotto dalla macchina B con D l'evento il pezzo è difettoso e con ND l'evento il pezzo non è difettoso.
Dai dati del problema si sa:
La probabilità che un pezzo sia prodotta dalla macchina A è:
p(A)=0,70La probabilità che un pezzo sia prodotta dalla macchina B è:
p(B)=0,30La probabilità che un pezzo non difettoso sia prodotta dalla macchina A è:
p(ND|A)=0,98La probabilità che un pezzo difettoso sia prodotta dalla macchina A è:
p(D|A)=0,02La probabilità che un pezzo non difettoso sia prodotta dalla macchina B è:
p(ND|B)=0,95La probabilità che un pezzo difettoso sia prodotta dalla macchina B è:
p(D|B)=0,05Rappresentiamo i dati del problema con un diagramma ad albero assegnando ad ogni ramo la sua probabilità condizionata.
![]()
Calcoliamo qual è la probabilità di prendere a caso un pezzo difettoso. Ci sono due percorsi che arrivano ad un pezzo difettoso.
![]()
Il primo ha probabilità 0,70 ⋅ 0,02 il secondo ha probabilità 0,3 ⋅ 0,05. Quindi, sommando, la probabilità di prendere a caso un pezzo difettoso è:
p(D) = 0,70 ⋅ 0,02 + 0,3 ⋅ 0,05 = 0,029
Ciascun evento A, B e D individua un sottoinsieme dello spazio campione S come si vede in figura:
![]()
Possiamo quindi applicare le formule della probabilità dell'intersezione dei due eventi A e D:
![]()
Essendo l'intersezione tra due insiemi un'operazione commutativa possiamo uguagliare i due secondi membri delle due uguaglianze:
![]()
da cui si ottiene:
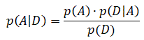
![]()
che fornisce una relazione tra due probabilità condizionate ed esprime il teorema di Bayes nella sua forma piò semplice. Siamo ora in grado di rispondere al quesito del problema cioè calcolare la probabilità dell'evento A dato D, applicando la formula di Bayes:
![]()