Indice
Introduzione
Le curve mostruose e il concetto di dimensione
Merletto e fiocco di neve di koch
Curva di Koch generalizzata
La polvere di Cantor
Triangolo di Sierpinski
Tappeto di Sierpinski
Spugna di Menger
Albero di Pitagora
Una montagna frattale
Una fronde di felce frattale
Frattali lineari e similitudine
Frattali non lineari e l'insiemi di Julia
Frattali e computer
Frattale di Mandelbrot
Merletto e fiocco di neve di koch
Nel 1904 Helge von Koch (1870-1924) scoprí un'altra curva frattale detta in suo onore merletto di Von Koch. Per realizzare questa curva si applica il seguente procedimento ricorsivo:
Passo 0: prendere un segmento di lunghezza 1;
Passo 1: dividere il segmento in tre parti uguali;
Passo 2: sostituire il segmento centrale con due segmenti della sua stessa lunghezza che costituiscono due lati di un triangolo equilatero;
Passo 3: ripetere i passi 1 e 2 su ogni nuovo segmento.
Ecco le prime iterazioni.
![]()
Ogni volta che viene eseguito il procedimento ricorsivo si ottiene una curva sempre più frastagliata e autosimile come già si vede dalle prime iterazioni che la curva è composta dall'unione di quattro parti, ognuna delle quali è ridotta in scala ad 1/3.
![]()
Bisogna immaginare il merletto di Koch come un oggetto frattale dopo n iterazioni con n che tende all'infinito. Nella pratica, non potendo eseguire infinite iterazioni possiamo, con l'aiuto del computer, ottenere immagini che precedono la costruzione finale del frattale agendo sul numero dei cicli ricorsivi della formula. Più è alto il numero dei cicli ricorsivi più si visualizzano approssimazioni più fini del frattale. Questo però non ci impedisce di immaginarlo e studiarlo matematicamente.
Ad esempio, possiamo determinare la dimensione di questa curva applicando la formula della distanza frattale:
![]()
Il fattore di scala è 1/3 (ogni segmento viene diviso in tre parti uguali) mentre il numero delle parti simili è 4 (ad ogni iterazione 3 segmenti uguali sono sostituiti con 4 segmenti uguali) per cui si ha:
![]()
Osserviamo che il merletto di Koch ha per dimensione un numero irrazionale maggiore di 1 ma minore di 2 e quindi non può ricoprire il piano come la curva di Peano. Possiamo stabilire la sua lunghezza; ad ogni iterazione la lunghezza di un segmento diminuisce di 1/3 mentre il numero dei segmenti è 4 volte più grande e quindi la lunghezza della curva cresce ad ogni iterazione di un fattore 4/3. Essendo 1 la lunghezza del segmento di partenza, dopo la prima iterazione la curva misura 4/3, dopo la seconda 16/9, e dopo la quarta 64/27 e dopo n iterazione la lunghezza della curva sarà:
![]()
Essendo 4/3 maggiore di 1 per n che tende a infinito anche la lunghezza della curva tende a un valore infinito. Possiamo anche renderci conto che il merletto di Koch pur essendo una curva continua, perchè si può disegnarla senza mai staccare la penna dal foglio, non ammette rette tangenti in alcun suo punto e quindi non è derivabile.
Sostituendo il segmento unitario con un triangolo equilatero con il lato di lunghezza 1 e applicando la stessa procedura ricorsiva del merletto su ogni lato del triangolo si ottiene un altro frattale chiamato fiocco di neve di Koch oppure isola di Koch. Ecco le prime iterazioni.
![]()
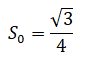
Continuando le iterazioni i contorni della curva diventano sempre più frastagliati. Quanto vale il perimetro e l'area di questo frattale? Per il perimetro possiamo applicare lo stesso ragionamento fatto per il merletto e quindi il suo valore è infinito. Vediamo cosa accade per l'area. La figura iniziale essendo un triangolo equilatero con lato di lunghezza 1 l'area è:
![]()
Con la prima iterazione vengono aggiunti 3 triangoli e ciascun triangolo ha l'area uguale a 1/9 di quella di S0.
![]()
Pertanto l'area diventa:
![]()
Dalla seconda iterazione in poi vengono aggiunti un numero di triangoli 4 volte quello precedente e ogni nuovo triangolo ha l'area uguale a 1/9 del triangolo su cui viene costruito.
![]()
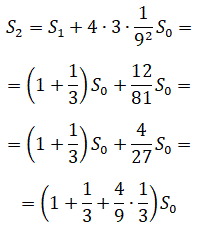
Con la seconda iterazione vengono, quindi, aggiunti 3⋅4 nuovi triangoli e ciascuno di questi triangoli ha l'area uguale:
![]()
Pertanto nella seconda iterazione l'area complessiva del fiocco sarà:
![]()
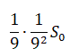
Con la terza iterazione vengono, quindi, aggiunti 3⋅42 nuovi triangoli e ciascuno di questi triangoli ha l'area uguale:
![]()
Pertanto nella terza iterazione l'area complessiva del fiocco sarà:
![]()
E dopo n iterazioni l'area complessiva del fiocco sarà:
![]()
Tenendo presente che nella parentesi quadra c'è una serie geometrica di ragione 4/9 possiamo applicare la formula delle serie:
![]()
E quindi si ottiene:
![]()
Pertanto l'area del fiocco di neve vale 1,6 volte l'area del triangolo equilatero iniziale. E' interessante notare che il fiocco di neve ha una lunghezza infinita che racchiude una superficie finita.