Indice
Introduzione
Le curve mostruose e il concetto di dimensione
Merletto e fiocco di neve di koch
Curva di Koch generalizzata
La polvere di Cantor
Triangolo di Sierpinski
Tappeto di Sierpinski
Spugna di Menger
Albero di Pitagora
Una montagna frattale
Una fronde di felce frattale
Frattali lineari e similitudine
Frattali non lineari e l'insiemi di Julia
Frattali e computer
Frattale di Mandelbrot
Frattali lineari e similitudine
Tutti i frattali che abbiamo esaminato fino a questo momento sono detti lineari perchè l'algoritmo che li genera è definito da una funzione lineare cioè da una funzione in cui le variabili sono tutte di primo grado. La caratteristica principale di un frattale è l'autosomiglianza in scala ridotta. Le trasformazioni geometriche che conservano la forma ma non le dimensioni sono le omotetie e più in generale le similitudini. La trasformazione di omotetia può ingrandire o impicciolire in scala un poligono o una qualsiasi figura senza cambiare la direzione dei lati. Pertanto le omotetie conservano la direzione, gli angoli e il rapporto fra segmenti corrispondenti che viene chiamato fattore di scala o rapporto di omotetia. Se il fattore di scala è compreso tra 0 e 1 si ha una riduzione di scala, se è uguale a 1 la figura resta immutata, se è maggiore di 1 si ha un ingrandimento di scala. Consideriamo le omotetia nel piano cartesiano. Se l'omotetia ha centro nell'origine degli assi e un fattore di scala k allora la trasformazione di omotetia ha per equazione:
![]()
dove x e y sono le coordinate iniziali dei punti, mentre X e Y sono le coordinate dei corrispondenti punti dopo la trasformazione. Consideriamo un triangolo rettangolo ABC isoscele con i cateti di lunghezza 1 e con il vertice A nell'origine degli assi.
![]()
Ora, se operiamo con una omotetia con centro in A (0; 0) e con un fattore di scala k=1/2 otteniamo il triangolo AED simile al triangolo ABC ma in scala ridotta a 1/2 e quindi le lunghezza dei sui lati sono la metà dei corrispondenti lati del triangolo ABC. Se operiamo con una omotetia con centro in A (0; 0) e con un fattore di scala k=1/4 otteniamo il triangolo AFG simile al triangolo ABC ma in scala ridotta a 1/4 e quindi le lunghezza dei sui lati sono la metà della metà dei corrispondenti lati del triangolo ABC. Dalla figura possiamo anche osservare che i triangoli ABC, AED, AFG sono simili tra loro e possiamo passare dal triangolo AED al triangolo AFG con una omotetia con centro in A e k=1/2.
![]()
In pratica si passa dal triangolo ABC al triangolo AED mediante l'omotetia con centro in A e di equazione:
![]()
E si passa dal triangolo ABC al triangolo AFG mediante l'omotetia con centro in A e di equazione:
![]()
La similitudine è una trasformazione geometrica che conserva la forma ma non conserva necessariamente la direzione e si ottiene per composizione di un'omotetia con un'isometria.
similitudine = omotetia + isometria.
Ricordiamo che le isometrie sono le trasformazioni geometriche che mantengono la lunghezza dei segmenti e l’ampiezza degli angoli ma cambia la posizione della figura e sono: traslazioni, simmetrie assiali, simmetria centrale e rotazioni. Ad esempio se si compone un'omotetia con centro nell'origine degli assi e un fattore di scala k con una traslazione avente la componente orizzontale a e la componente verticale b le equazioni della trasformazione sono:
![]()
Se operiamo con una omotetia con centro in A (0; 0) e con un fattore di scala k=1/2 otteniamo il triangolo AED e se successivamente trasliamo il triangolo AED:
con un vettore di componente orizzontale 1/2 e componente verticale 0 otteniamo il triangolo EBF;
con un vettore di componente orizzontale 0 e componente verticale 1/2 otteniamo il triangolo DFC;
![]()
In pratica si passa dal triangolo ABC al triangolo EBF mediante un'omotetia con centro in A e k=1/2 e successivamente con una traslazione con componenti (1/2; 0) oppure con una similitudine con centro in A di equazione:
![]()
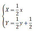
E si passa dal triangolo ABC al triangolo DFC mediante l'omotetia con centro in A e k=1/2 e successivamente con una traslazione con componenti (0; 1/2) oppure con una similitudine con centro in A di equazione:
![]()
A questo punto non è difficile capire che iterando omotetie e traslazione si può ottenere la seguente figura:
![]()
e con infinite trasformazioni di omotetie e traslazioni si ottiene il triangolo di Sierpinski. Pertanto componendo omotetie e isometrie si possono ottenere tutti i frattali lineari. Si dice anche che i frattali autosimili per cambiamenti di scala e per traslazioni sono invarianti per trasformazioni lineari