Indice
Introduzione
Fare geometria senza riga e compasso
Dal quadrato al cigno
Le sette operazioni di base
Trisezione di un angolo
Dividere un lato del foglio
Duplicazione del cubo
Primo teorema di Haga
Generalizzazione del primo teorema
Secondo teorema di Haga
Terzo teorema di Haga
Costruzione di una parabola
Piegatura Beloch
Poligoni regolari con piegature
Costruzione dell'ennagono regolare
Generalizzazione del primo teorema
Il primo teorema di Haga può essere generalizzato ponendo che, mediante la piegatura, il vertice B in basso a destra di un foglio quadrato di lato unitario venga portato a coincidere con un punto qualsiasi del lato superiore CD. In tal caso se poniamo EC=x possiamo esprimere tutte le suddivisione dei lati del foglio in funzione di x.
![]()
Indichiamo tutte le suddivisioni con delle incognite e poi determiniamo queste incognite in funzione di x.
![]()
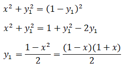
Applicando il teorema di Pitagora al triangolo ECF si ha:
![]()
Essendo simili i triangoli DHE e ECF possiamo scrivere:
![]()
Tracciamo le linee rette GL e EB.
![]()
Essendo congruenti i triangoli BCE e GLF si ha FL = x pertanto:
![]()
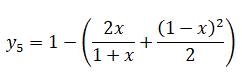
Essendo y2 + y5 + y4 = 1 si ha:
![]()
Applicando il teorema di Pitagora al triangolo GLF si ha:
![]()