Indice
Introduzione
Fare geometria senza riga e compasso
Dal quadrato al cigno
Le sette operazioni di base
Trisezione di un angolo
Dividere un lato del foglio
Duplicazione del cubo
Primo teorema di Haga
Generalizzazione del primo teorema
Secondo teorema di Haga
Terzo teorema di Haga
Costruzione di una parabola
Piegatura Beloch
Poligoni regolari con piegature
Costruzione dell'ennagono regolare
Costruzione di una parabola
Con le piegature è possibile costruire una parabola. Vediamo come ciò è possibile. Consideriamo un foglio di carta quadrato:
Primo passo: scegliamo un punto P vicino al bordo inferiore del quadrato;
Secondo passo: pieghiamo la carta in modo che il margine inferiori ripiegato passi per il punto scelto;
![]()
Terzo passo: ripetiamo più volte il secondo passo cambiando la posizione della piega.
![]()
Le traccie delle pieghe sono l'inviluppo delle tangenti alla parabola pertanto più è alto il numero delle pieghe più risulta evidente il profilo della curva.
Con questo procedimento il punto scelto P è il fuoco della parabola mentre il bordo inferiore del quadrato è la direttrice della parabola e la distanza del punto Q (appartenente alla parabola e alla retta tangente) dal punto P (il fuoco) è uguale alla distaza tra Q e R (un punto sulla direttrice). Si può vedere che i punti P e R sono simmetrici rispetto alla piega.
![]()
E questa costruzione con le pieghe soddisfatta la definizione: la parabola è il luogo dei punti equidistanti da una retta fissa detta direttrice e da un punto fisso detto fuoco. Possiamo determinare l'equazione della parbola considerando il sistema di assi cartesiani come si vede in figura:
![]()
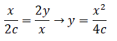
Se indichiamo le coordinate dei punti P, Q, M e la direttrice con:
P(0, c), Q(x, y), M(x/2, 0), y = -c
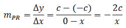
Possiamo calcolare:
la pendenza della retta PR
![]()
e la pendenza della retta QM. Essendo QM perpendicolare a PR il prodotto delle loro pendenze è uguale a -1 pertanto:
![]()
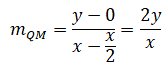
Ora la pendenza della retta QM può essere determinata anche attraverso i punti Q e M:
![]()
E uguagliando l due espressioni si ha:
![]()
Che è l'equazione della parabola con il vertice nell'origine e il fuoco sull'asse delle y.
La costruzione della parabola deriva dall'applicazione del quinto postulato. Infatti, Se il punto Q è il fuoco di una parabola e il punto P è un punto della parabola e r è la direttrice della parabola allora in base al quinto postulato: assegnati due punti P e Q, e una retta r, si può piegare (se esiste) una retta per P che porti Q su r.
![]()