Indice
Introduzione
Fare geometria senza riga e compasso
Dal quadrato al cigno
Le sette operazioni di base
Trisezione di un angolo
Dividere un lato del foglio
Duplicazione del cubo
Primo teorema di Haga
Generalizzazione del primo teorema
Secondo teorema di Haga
Terzo teorema di Haga
Costruzione di una parabola
Piegatura Beloch
Poligoni regolari con piegature
Costruzione dell'ennagono regolare
Primo teorema di Haga
I tre teoremi di Kazuo Haga permettono, mediante particolari pieghe, di individuare sui lati di un foglio di carta quadrata particolari suddivisioni.
Primo teorema:
se, mediante una piegatura, il vertice B in basso a destra di un foglio quadrato di lato unitario viene portato a coincidere con il punto medio E del lato superiore CD
![]()
allora si ha:
Il lato BC viene diviso dal punto F nella proporzione di 3:5;
Il lato AD viene diviso dal punto H nella proporzione di 2:1;
Il lato AD viene diviso dal punto G nella proporzione di 7:1;
Il lato AB viene diviso dal punto H nella proporzione di 1:5.
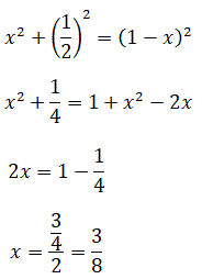
I triangoli rettangoli ECF, HDE, HIG sono simili pechè hanno gli angoli corrispondeti uguali inoltre, EC=DE=1/2 e ponendo CF=x ne segue che BF=EF=1-x.
![]()
Applicando il teorema di Pitagora al triangolo ECF si ha:
![]()
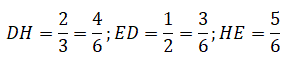
E quindi CF=3/8, EF=5/8, EC=4/8 e il triangolo ECF è un triangolo pitagorico essendo i suoi lati proporzionali ai numeri 3,4,5. Dalla similitudine dei triangoli HDE e ECF possiamo scrivere:
DE : CF = DH : EC
Cioè
![]()
Anche il triangolo HDE essendo simile al triangolo ECF è un triangolo pitagorico e quindi i suoi lati misurano
![]()
Conoscendo HE possiamo determinare IH per differenza:
IH = 1 - HE = 1 - 5/6 = 1/6
Dalla similitudine dei triangoli HDE e ECF possiamo scrivere:
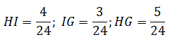
IG : CF = HI : EC
Cioè
![]()
Essendo anche il triangolo HIG pitagorico si ha:
![]()
Ecco tutte le suddivisioni ottenute:
![]()