Indice
Introduzione
Fare geometria senza riga e compasso
Dal quadrato al cigno
Le sette operazioni di base
Trisezione di un angolo
Dividere un lato del foglio
Duplicazione del cubo
Primo teorema di Haga
Generalizzazione del primo teorema
Secondo teorema di Haga
Terzo teorema di Haga
Costruzione di una parabola
Piegatura Beloch
Poligoni regolari con piegature
Costruzione dell'ennagono regolare
Terzo teorema di Haga
Terzo teorema:
se, mediante una piegatura, il vertice B in basso a destra di un foglio quadrato di lato unitario viene portato sul lato destro AD in modo che il lato BC intercetti il punto medio E del lato superiore CD
![]()
allora si ha:
Il lato AD viene diviso dal punto H nella proporzione di 2:1;
Il lato AB viene diviso dal punto G nella proporzione di 5:4;
Il lato DC viene diviso dal punto F nella proporzione di 7:2;
Il segmento EC viene diviso dal punto F nella proporzione di 5:2.
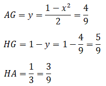
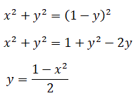
Ponendo AH=x e AG=y si ha BG=GH=1-y e applicando il teorema di Pitagora al trangolo HAG si ottiene:
![]()
I triangoli HAG, EDH e EIF sono simili avedo gli angoli corrispondenti uguali. Dalla similitudine dei triangoli HAG e EDH si ha:
![]()
E quindi:
![]()
Il triangolo HAG è un triangolo pitagorico essendo i suoi lati proporzionali ai numeri 3,4,5 ne segue che anche i triangoli EDH e EIF sono pitagorici e quindi possiamo facilmente dedurre le misuree dei loro lati:
![]()