Indice
Introduzione al concetto di limite
Definizione di limite
Il limite nelle funzioni continue
I limiti delle funzioni elementari agli estremi
L'algebra dei limiti
Limite di una funzione razionale fratta per x → x0
Limiti di funzioni polinomiali in forma indeterminata +∞-∞
Limiti di funzioni razionali fratte in forma indeterminata ∞/∞
Limiti di funzioni irrazionali di indice pari
Limiti notevoli (prima parte)
Limiti notevoli (seconda parte)
Limiti delle funzioni composte
Confronto tra infinitesimi e infiniti
Asintoti verticali e orizzontali
Limiti di funzioni irrazionali di indice pari
Le funzioni irrazionali di indice pari hanno per dominio l'insieme [0, +∞) e sono continue nel loro dominio.
![]()
Nel calcolo dei limiti di queste funzioni, si possono presentare le seguenti forme di indecisione:
+∞ - ∞   0 ⋅ ∞   0/0   ∞/∞
Con alcuni esempi vedremo le strategie più comuni per rimuovere le forme di indecisioni.
Limiti in cui si presenta la forma indeterminata +∞-∞.
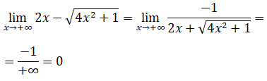
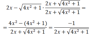
Esempio 1 Calcoliamo il limite della funzione irrazionale:
![]()
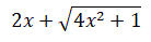
Per eliminare l'indeterminazione si moltiplica e si divide la funzione per il fattore:
![]()
In questo modo si ottiene:
![]()
Risulta quindi:
![]()
Limiti in cui si presenta la forma indeterminata 0/0.
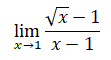
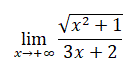
Esempio 2 Calcoliamo il limite della funzione irrazionale:
![]()
Per eliminare l'indeterminazione si possono utilizzare due metodi:
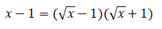
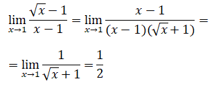
Primo metodo: fattorizzare il denominatore:
![]()
si ha pertanto:
![]()
Secondo metodo: razionalizzare il numeratore:
![]()
si ha pertanto:
![]()
Limiti in cui si presenta la forma indeterminata ∞/∞.
Esempio 3 Calcoliamo il limite della funzione irrazionale:
![]()
Per eliminare l'indeterminazione raccogliamo la variabile di grado massimo al numeratore e al denominatore:
![]()
Siccome x tende a più infinito sarà sicuramente maggiore di zero e quindi:
![]()
Si ottiene:
![]()
Limiti in cui si presenta la forma indeterminata 0 ⋅ ∞.
Esempio 4 Calcoliamo il limite della funzione irrazionale:
![]()
a) Siccome x tende a più infinito x sarà sicuramente maggiore di zero e quindi portandolo sotto radice si ha:
![]()
b) Siccome x tende a meno infinito x sarà sicuramente minore di zero e quindi per portandolo sotto radice dobbiamo mettere il segno meno fuori dalla radice:
![]()