Indice
Introduzione al concetto di limite
Definizione di limite
Il limite nelle funzioni continue
I limiti delle funzioni elementari agli estremi
L'algebra dei limiti
Limite di una funzione razionale fratta per x → x0
Limiti di funzioni polinomiali in forma indeterminata +∞-∞
Limiti di funzioni razionali fratte in forma indeterminata ∞/∞
Limiti di funzioni irrazionali di indice pari
Limiti notevoli (prima parte)
Limiti notevoli (seconda parte)
Limiti delle funzioni composte
Confronto tra infinitesimi e infiniti
Asintoti verticali e orizzontali
Limiti notevoli (seconda parte)
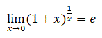
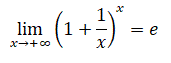
Il limite notevole di riferimento per le funzioni esponenziali e logaritmiche è:
![]()
dove la lettera e indica il numero irrazionale 2,7182... detto numero di Nepero. Osserviamo che il limite della funzione
![]()
per x che tende a più infinito si presenta nella forma indeterminata 1∞, mentre come si vede dal grafico della funzione la curva per x che tende a più o meno infinito si avvicina sempre di più alla retta y=2,7182... che rappresenta l'asintoto orizzontale della funzione:
![]()
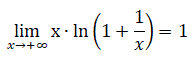
Partendo da questo limite si possono dimostrare altri limiti notevoli:
![]()
Dimostrazione: questo limite si presenta nella forma indeterminta ∞⋅0. Applicando la proprietà dei logaritmi possiamo riscrivere il limite in cui è presente il limite notevole di riferimento:
![]()
![]()
Dimostrazione: questo limite si presenta nella forma indeterminta 1∞. Per eliminare l'indecisione si opera un cambiamento di variabile ponendo:
![]()
In questo modo se x tende a zero allora t tende a più infinito e quindi possiamo scrivere:
![]()
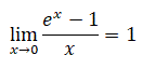
![]()
Dimostrazione: il limite si presenta nella forma indeterminta 0/0. Applicando la proprietà dei logaritmi e tenendo conto del limite notevole precedente si ha:
![]()
![]()
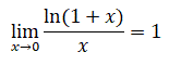
Dimostrazione: il limite si presenta nella forma indeterminta 0/0. Per eliminare l'indecisione si opera un cambiamento di variabile ponendo:
![]()
Cioè
![]()
Da questa relazione si può ottenere:
x = ln(t + 1)
Inoltre, se x tende a zero anche ln(t + 1) tende a zero e quindi possiamo scrivere:
![]()
Vediamo con degli esempi come i limiti notevoli possono essere utili per risolvere altri limiti più complessi che si presentano in una forma indeterminata.
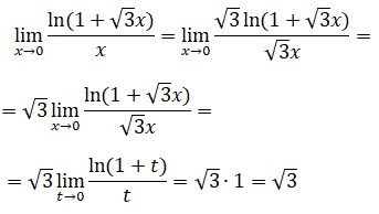
Esempio 1: Calcolare il limite:
![]()
Il limite si presenta nella forma indeterminta 0/0. Moltiplicando numeratore e denominatore per radice quadrata di tre si ottiene:
![]()
Ora, per ottenere un limite notevole dobbiamo operare un cambio di variabile ponendo √3 x = t e da questo cambio si vede anche che quando x tende a zero anche t tende a zero per cui il limite diventa:
![]()
Esempio 2: Calcolare il limite:
![]()
Il limite si presenta nella forma indeterminta 0/0. Per ottenere un limite notevole dobbiamo operare un cambio di variabile ponendo sinx = t e da questo cambio si vede anche che quando x tende a zero anche t tende a zero per cui il limite diventa:
![]()
Esempio 3: Calcolare il limite:
![]()
Il limite si presenta nella forma indeterminta 0/0. Per ottenere un limite notevole dobbiamo moltiplicare e dividere per tanx.
![]()