Indice
Introduzione al concetto di limite
Definizione di limite
Il limite nelle funzioni continue
I limiti delle funzioni elementari agli estremi
L'algebra dei limiti
Limite di una funzione razionale fratta per x → x0
Limiti di funzioni polinomiali in forma indeterminata +∞-∞
Limiti di funzioni razionali fratte in forma indeterminata ∞/∞
Limiti di funzioni irrazionali di indice pari
Limiti notevoli (prima parte)
Limiti notevoli (seconda parte)
Limiti delle funzioni composte
Confronto tra infinitesimi e infiniti
Asintoti verticali e orizzontali
L'algebra dei limiti
Vediamo le regole che ci permettono di calcolare i limiti delle funzioni ottenute componedo più funzioni elementari mediante le usuali operazioni di addizione, sottrazione, moltiplicazione e divisione.
Prima regola: funzioni che hanno limiti finiti.
Supponiamo che il limite della funzioni f(x) per x che tende a x0 sia uguale a l e il limite della funzioni g(x) per x che tende a x0 sia uguale a m:
![]()
dove l, m ∈ R e x0∈ R*. Allora si ha:
![]()
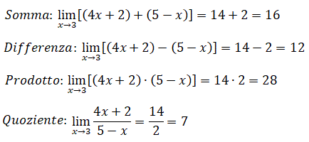
Esempio 1: Consideriamo le due funzioni f(x) = 4x + 2 e g(x) = 5 - x e i loro limiti per x tendente a 3 ossia:
![]()
Componendo le due funzioni si ha:
![]()
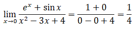
Esempio 2: Calcola
![]()
Eseguendo si ha:
![]()
Esempio 3: Calcola
![]()
Eseguendo si ha:
![]()
Seconda regola: funzioni che non hanno entrambi limite finito.
Somma:
![]()
La somma +∞-∞ è detta forma indeterminata e ciò non vuol dire che il limite non si possa calcolare. Vedremo più avanti com'è possibile eliminare la causa dell'indeterminazione.
Prodotto:
![]()
Anche i prodotti 0⋅(+∞) e 0⋅(-∞) sono forme indeterminate e vedremo più avanti com'è possibile eliminare la causa dell'indeterminazione.
Quoziente:
![]()
Anche i quozienti 0/0 e ∞/∞ sono forme indeterminate e vedremo più avanti com'è possibile eliminare la causa dell'indeterminazione. possibili.
Nell'algebra dei limiti bisogna fare attenzione al segno dello zero perchè se si ha un numero molto piccolo ma positivo del tipo +0,000001 possiamo allora considerarlo come 0+, invece se si ha un numero molto piccolo ma negativo del tipo -0,000001 possiamo allora considerarlo come 0-. Vediamo di chiarire la questione con un esempio.
Risolvere i due limiti:
![]()
Esaminiamo il primo limite: La x tende a 2 da sinistra e quindi sarà sempre minore di 2 anche se di una quantità molto piccola pertando la differenza 2- - 2 può essere considerata come 0- e quindi si ha:
![]()
Nel secondo limite la x tende a 2 da destra e quindi sarà sempre maggiore di 2 anche se di una quantità molto piccola pertando la differenza 2+ - 2 può essere considerata come 0+ e quindi si ha:
![]()
Pertanto si hanno i seguenti casi:
![]()
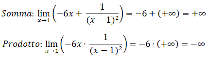
Esempio 4: Consideriamo i limiti delle le due funzioni f(x) e g(x):
![]()
I limiti delle funzioni somma e prodotto sono rispettivamente:
![]()
Esempio 5: Consideriamo i limiti delle le due funzioni f(x) e g(x):
![]()
e il limite del quoziente delle due funzioni.
Il numeratore tende a un numero finito negativo diverso da zero mentre il denominatore tende a 0- e quindi il numeratore e il denominatore hanno entrambi il segno negativo e quindi il limite è uguale a +∞:
![]()