Indice
Introduzione al concetto di limite
Definizione di limite
Il limite nelle funzioni continue
I limiti delle funzioni elementari agli estremi
L'algebra dei limiti
Limite di una funzione razionale fratta per x → x0
Limiti di funzioni polinomiali in forma indeterminata +∞-∞
Limiti di funzioni razionali fratte in forma indeterminata ∞/∞
Limiti di funzioni irrazionali di indice pari
Limiti notevoli (prima parte)
Limiti notevoli (seconda parte)
Limiti delle funzioni composte
Confronto tra infinitesimi e infiniti
Asintoti verticali e orizzontali
Limiti di funzioni polinomiali in forma indeterminata +∞-∞
Le funzioni polinomiali:
P(x) = a0xn + a1xn-1 + a2xn-2 + ... + an
hanno come dominio l'insieme R e sono continue in tutto il campo di esistenza e quindi nel calcolo del limite di una funzione polinomiale ci si può imbattere in una forma di indecisione del tipo +∞-∞ solo per x che tende a ±∞. Ad esempio ciò accade per il limite:
![]()
Infatti, se calcoliamo il limite di ogni termine della funzione si ottiene:
![]()
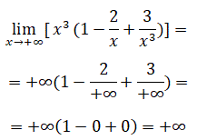
E quindi il limite della funzione polinomiale si presenta nella forma indeterminata +∞-∞. La strategia per eliminare l'indeterminazione consiste nel raccogliere a fattore comune la variabile x col massimo esponente:
![]()
In questo modo, la funzione si presenta come un prodotto dove il limite del primo fattore tende a più infinito e il limite del secondo fattore, quello racchiuso nelle parentesi tonde, tende a 1 e quindi possiamo calcolare il limite applicando la regola del prodotto di due funzioni.
![]()
In generale:
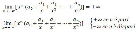
per eliminare l'eventuale indeterminazione +∞-∞ del limite di una funzione polinomiale per x che tende a più infinito o a meno infinito si raccoglie a fattore comune la x col massimo esponente e poi si calcola il limite applicando la regola del prodotto di due funzioni:
![]()
In pratica per calcolare il limite di una funzione polinomiale per x che tende a più o meno infinito basta calcolare il limite del suo termine di grado massimo:
![]()