Indice
Introduzione al concetto di limite
Definizione di limite
Il limite nelle funzioni continue
I limiti delle funzioni elementari agli estremi
L'algebra dei limiti
Limite di una funzione razionale fratta per x → x0
Limiti di funzioni polinomiali in forma indeterminata +∞-∞
Limiti di funzioni razionali fratte in forma indeterminata ∞/∞
Limiti di funzioni irrazionali di indice pari
Limiti notevoli (prima parte)
Limiti notevoli (seconda parte)
Limiti delle funzioni composte
Confronto tra infinitesimi e infiniti
Asintoti verticali e orizzontali
Limite di una funzione razionale fratta per x → x0
Quando calcoliamo il limite di una funzione razionale con x che tende a x0 (con x0 numero finito) possono presentarsi quattro casi:
Sostituendo x con x0 nella funzione non si annulla nè il numeratore nè il denominatore;
Sostituendo x con x0 nella funzione si annulla solo il numeratore;
Sostituendo x con x0 nella funzione si annulla solo il denominatore;
Sostituendo x con x0 nella funzione si annulla sia il numeratore che il denominatore.
Nei primi due casi la funzione è continua nel punto x0 e quindi si ha:
![]()
Vediamo due esempi:
Esempio 1:
![]()
Esempio 2:
![]()
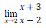
Nel terzo caso annullandosi il denominatore significa che la funzione non è definita in x0, cioè x0 non è compreso nel dominio della funzione che è D=R-{2}, possiamo anche dire che la funzione non è continua nel punto x0. In questo caso bisogna vedere come si comporta la funzione in un intorno destro e in un intorno sinistro di x0. Vediamo due esempi:
Esempio 3:
![]()
Sostituendo x con 2 nella funzione si ottiene la frazione senza significato 5/0. Calcoliamo il limite destro e il limite sinistro
![]()
Come si vede i due limiti sono diversi e quindi il limite della funzione per x che tende a x0 non esiste.
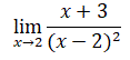
Esempio 4:
![]()
Sostituendo x con 2 nella funzione si ottiene la frazione senza significato 5/0. Calcoliamo il limite destro e il limite sinistro
![]()
Come si vede i due limiti sono uguali e quindi il limite della funzione per x che tende a x0 è uguale a più infinito.
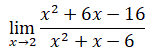
Nel quarto caso annullandosi sia il numeratore che il denominatore sostituendo nella funzione x con il valore di x0 si ottiene la forma indeterminata 0/0 e questo vuol dire che sia il numeratore che denominatore sono divisibili per (x-x0). Pertanto, in questi casi, per eliminare l'indeterminazione bisogna scomporre numeratore e denominatore, semplificare la frazione e calcolare il limite della frazione ridotta ai minimi termini. Vediamo un esempio.
Esempio 5:
![]()
Riducendo ai minimi termini la frazione si ottiene una funzione continua nel punto x=2 e quindi possiamo facilmente calcolare il suo limite.
![]()