Indice
Introduzione al concetto di limite
Definizione di limite
Il limite nelle funzioni continue
I limiti delle funzioni elementari agli estremi
L'algebra dei limiti
Limite di una funzione razionale fratta per x → x0
Limiti di funzioni polinomiali in forma indeterminata +∞-∞
Limiti di funzioni razionali fratte in forma indeterminata ∞/∞
Limiti di funzioni irrazionali di indice pari
Limiti notevoli (prima parte)
Limiti notevoli (seconda parte)
Limiti delle funzioni composte
Confronto tra infinitesimi e infiniti
Asintoti verticali e orizzontali
Confronto tra infinitesimi e infiniti
Nei limiti di funzioni le più frequenti forme di indecisione sono dovute alla differenza tra due funzioni che tendono a infinito oppure dal rapporto di due funzioni che tendono a zero o a infinito. In questi casi per risolvere l'indecisione è importante conoscere, dal confronto di due funzioni, qual è quella che va a zero o a infinito più rapidamente dell'altra. Si dice che una funzione f(x) è un infinitesimo rispetto a x che tende a x0 se:
![]()
Se due funzioni f(x) e g(x) sono entrambe infinitesime per x che tende a x0, si possono presentare quattro casi:
f(x) è un infinitesimo di ordine superiore rispetto a g(x) se
![]()
cioè f(x) tende a zero più rapidamente di g(x).
Ad esempio le funzioni f(x)=1-cosx e g(x)=x sono entrambe infinitesime rispetto a x che tende a zero e dato che:
![]()
possiamo dire che (1-cosx) è un infinitesimo di ordine superiore rispetto a x.
f(x) è un infinitesimo dello stesso ordine rispetto a g(x) se
![]()
cioè f(x) e g(x) tendono a zero con la stessa velocità.
Ad esempio le funzioni f(x)=sinx e g(x)=x sono entrambe infinitesime rispetto a x che tende a zero e dato che:
![]()
possiamo dire che sinx e x sono un infinitesimo dello stesso ordine.
f(x) è un infinitesimo di ordine inferiore rispetto a g(x) se
![]()
cioè g(x) tende a zero più rapidamente di f(x).
Ad esempio le funzioni f(x)=sinx e g(x)=x2 sono entrambe infinitesime rispetto a x che tende a zero e dato che:
![]()
possiamo dire che x2 è un infinitesimo di ordine superiore rispetto a sinx.
f(x) non è confrontabile con g(x) se
![]()
cioè non è possibile stabilire quale delle due funzioni tende a zero più rapidamente.
Si dice che una funzione f(x) è un infinito rispetto a x che tende a x0 se:
![]()
Se due funzioni f(x) e g(x) sono entrambe infinite per x che tende a x0, si possono presentare quattro casi:
f(x) è un infinito di ordine superiore rispetto a g(x) se
![]()
cioè f(x) tende a infinito più rapidamente di g(x).
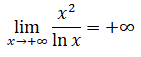
Ad esempio le funzioni f(x)=x2 e g(x)=lnx sono entrambe infinite rispetto a x che tende a più infinito e:
![]()
Il limite si presenta nella forma indeterminata ma se osserviamo il grafico delle due funzioni possiamo facilmente verificare che x2 è un infinito di ordine superiore rispetto a lnx.
![]()
f(x) è un infinito dello stesso ordine rispetto a g(x) se
![]()
cioè f(x) e g(x) tendono a infinito con la stessa velocità.
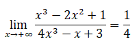
Ad esempio le funzioni f(x)=x3-2x2+1 e g(x)=4x3-x+3 sono entrambe infinite rispetto a x che tende a più infinito e:
![]()
possiamo dire che x3-2x2+1 e 4x3-x+3 sono infiniti dello stesso ordine.
f(x) è un infinito di ordine inferiore rispetto a g(x) se
![]()
cioè g(x) tende a infinito più rapidamente di f(x).
Ad esempio le funzioni f(x)=lnx e g(x)=√x sono entrambe infinite rispetto a x che tende a infinito e:
![]()
possiamo dire che √x è un infinito di ordine superiore rispetto a lnx.
f(x) non è confrontabile con g(x) se
![]()
cioè non è possibile stabilire quale delle due funzioni tende a infinito più rapidamente.
Osservando il grafico delle funzioni elementari:
![]()
Possiamo facilmente vedere quale funzione ha una crescita maggiore delle altre e quindi stabilire una scala di confronto tra i limiti delle funzioni per x che tende a più infinito.
![]()
Vediamo con qualche esempio l'utilità di questa scala degli infiniti.
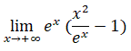
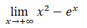
Esempio 1: Calcolare il limite:
![]()
Il limite si presenta nella forma indeterminata ∞-∞. Sapendo che la funzione ex va a infinito più rapidamente di x2 mettiamo a fattore comune ex:
![]()
Ora, essendo x2 un infinito di ordine inferiore rispetto a ex il rapporto x2/ex va a zero per x che tende a più infinito e quindi il valore del limite è:
![]()
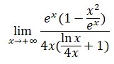
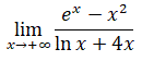
Esempio 2: Calcolare il limite:
![]()
Il limite si presenta nella forma indeterminata (∞-∞)/∞. Sapendo che al numeratore la funzione ex va a infinito più rapidamente di x2 e al denominatore la funzione 4x va a infinito più rapidamente di lnx mettiamo a fattore comune ex al numertore e 4x al denomitatore :
![]()
Ora, possiamo facilmente capire che il limite è uguale a più infinito:
![]()