Indice
Introduzione al concetto di limite
Definizione di limite
Il limite nelle funzioni continue
I limiti delle funzioni elementari agli estremi
L'algebra dei limiti
Limite di una funzione razionale fratta per x → x0
Limiti di funzioni polinomiali in forma indeterminata +∞-∞
Limiti di funzioni razionali fratte in forma indeterminata ∞/∞
Limiti di funzioni irrazionali di indice pari
Limiti notevoli (prima parte)
Limiti notevoli (seconda parte)
Limiti delle funzioni composte
Confronto tra infinitesimi e infiniti
Asintoti verticali e orizzontali
Limiti delle funzioni composte
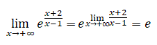
Consideriamo il limite della funzione:
![]()
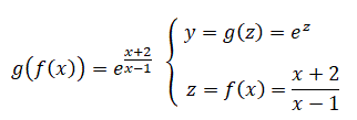
La funzione, di cui dobbiamo calcolare il limite, è formata dalla composizione di due distinte funzioni; una funzione esponenziale y=g(z) e una funzione razionale fratta z=f(x). La funzione g(z) ha per argomento la funzione f(x), in questi casi si dice che la funzione g(z) contiene la funzione f(x) oppure si dice che la funzione g(z) è esterna mentre la funzione f(x) è interna alla funzione g(z) e si scrive:
![]()
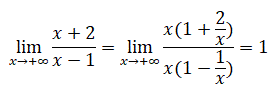
La condizione di esistenza della funzione composta è che il codominio della funzione interna sia uguale al dominio della funzione che la contiene. Per risolvere questo tipo di limite dobbiamo innanzitutto calcolare il limite della funzione più interna che è razionale fratta, e il grado del suo numeratore è uguale al grado del suo denominatore e quindi il limite è uguale al rapporto tra i coefficienti della x di grado massimo di numeratore e denominatore; cioè:
![]()
Pertanto, il limite della funzione composta è dato da:
![]()
che possiamo anche scrivere:
![]()
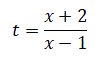
Generalmente il calcolo del limite di una funzione composta viene svolto utilizzando la tecnica del cambio di variabile. Ad esempio nel nostro caso poniamo:
![]()
e per x che tende a più infinito la variabile t tenderà a 1 e quindi dobbiamo utilizzare la scrittura t→1 nel limite espresso in funzione di t che risulterà particolarmente semplice:
![]()
Vediamo alcuni esempi di limiti di funzioni composte risolte con la tecnica del cambio di variabile.
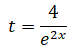
Esempio 1: Calcolare il limite
![]()
Poniamo:
![]()
e per x che tende a più infinito t tende a zero e quindi il limite della funzione espresso in funzione di t è:
![]()
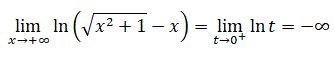
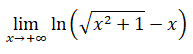
Esempio 2: Calcolare il limite
![]()
Poniamo:
![]()
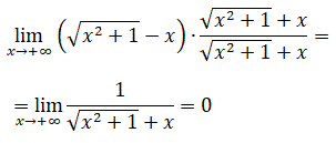
Ora, per x che tende a più infinito t presenta una indeterminazione del tipo ∞-∞ che si può eliminare con la razionalizzazione:
![]()
e quindi il limite della funzione espresso in funzione di t è:
![]()