Indice
Introduzione al concetto di limite
Definizione di limite
Il limite nelle funzioni continue
I limiti delle funzioni elementari agli estremi
L'algebra dei limiti
Limite di una funzione razionale fratta per x → x0
Limiti di funzioni polinomiali in forma indeterminata +∞-∞
Limiti di funzioni razionali fratte in forma indeterminata ∞/∞
Limiti di funzioni irrazionali di indice pari
Limiti notevoli (prima parte)
Limiti notevoli (seconda parte)
Limiti delle funzioni composte
Confronto tra infinitesimi e infiniti
Asintoti verticali e orizzontali
Limiti notevoli (prima parte)
Alcuni limiti che riguardano le funzioni trigonometriche, le funzioni esponenziali e le funzioni logaritmiche sono detti limiti notevoli. Questi limiti sono fondamentali per il calcolo di altri limiti particolarmente complessi che si presentano in una forma indeterminata.
Il limite notevole di riferimento per le funzioni trigonometriche è:
![]()
La funzione sin(x)/x non è definita per x=0 e il limite della funzione per x che tende a zero si presenta nella forma indeterminata 0/0. Però, se si scelgono valori di x vicini quanto si vuole al valore x=0, ma distinti da questo, i corrispondenti valori della funzione saranno valori vicini a 1 quanto si vuole. Inoltre, si può dimostrare geometricamente che il limite di tale funzione per x→0 è uguale a 1.
Partendo da questo limite si possono dimostrare altri limiti notevoli:
![]()
Dimostrazione: questo limite si presenta nella forma indeterminta 0/0 ma si può facilmente eliminare l'indeterminazione sostituendo tanx con sinx/cosx:
![]()
In questo modo, la funzione iniziale viene trasformata nel prodotto di due funzioni e i limiti di queste due funzioni sono entrambi uguali a 1 per x che tende a zero e quindi si può calcolare il limite applicando la regola del prodotto di due funzioni.
![]()
![]()
Dimostrazione: anche questo limite si presenta nella forma indeterminta 0/0. In questo caso si può eliminare l'indeterminazione moltiplicando numeratore e denominatore per 1+cosx e trasformare la funzione iniziale nel prodotto di due funzioni e infine calcolare il limite applicando la regola del prodotto di due funzioni:
![]()
![]()
Dimostrazione: il limite si presenta nella forma indeterminta 0/0 e si può eliminare l'indeterminazione moltiplicando numeratore e denominatore per 1+cosx e trasformare la funzione iniziale nel prodotto di due funzioni e infine calcolare il limite applicando la regola del prodotto di due funzioni:
![]()
Vediamo con degli esempi come i limiti notevoli possono essere utili per risolvere altri limiti più complessi che si presentano in una forma indeterminata.
Esempio 1: Calcolare il limite:
![]()
Il limite si presenta nella forma indeterminta 0/0. Mettendo a fattore comune la variabile x al numeratore e al denominatore si ottiene:
![]()
In questo modo, il limite non si presenta nella forma indeterminata e lo si può calcolare applicando la regola del quoziente di due funzioni:
![]()
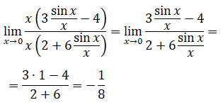
Esempio 2: Calcolare il limite:
![]()
Il limite si presenta nella forma indeterminta 0/0, mettendo a fattore comune la variabile x al numeratore e al denominatore e semplificando si ottiene il limite non più in forma indeterminata il cui valore è:
![]()
Esempio 3: Calcolare il limite:
![]()
Il limite si presenta nella forma indeterminta 0/0. Moltiplicando numeratore e denominatore per tre si ottiene:
![]()
Ora, per ottenere il limite notevole di riferimento dobbiamo operare un cambio di variabile ponendo 3x = t e da questo cambio si vede anche che quando x tende a zero anche t tende a zero per cui il limite diventa:
![]()