Indice
Introduzione alla geometria analitica dello spazio
Punti simmetrici rispetto agli assi e rispetto all'origine
Punti simmetrici rispetto ai piani coordinati
Distanza tra due punti nello spazio
Punto medio di un segmento
Equazione generale del piano
Piano passante per tre punti non allineati
Piani paralleli
Piani secanti e piani perpendicolari
L'equazione di una retta nello spazio
Vettori nello spazio
Vettori e oggetti geometrici nello spazio
Distanza di un punto da un piano
Distanza di un punto da una retta
L'equazione di una superficie sferica
L'equazione di una retta nello spazio
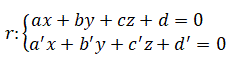
Nello spazio se due piani non sono paralleli si intersecano lungo una retta e il sistema formato dalle equazioni dei due piani rappresenta l’equazione della retta intersezione. Pertanto, l'equazione generale di una retta r nello spazio è data dal sistema di due equazioni che rappresentano due piani non paralleli (ricordiamo che due piani non sono paralleli se nelle due equazioni che li rappresentano i coefficienti delle variabili corrispondenti non hanno lo stesso rapporto):
![]()
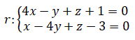
Ad esempio, i due piani aventi per equazioni:
4x - y + z + 1 = 0   x - 4y + z - 3 = 0
non sono paralleli e quindi si intersecano lungo una retta r che ha per equazione:
![]()
Come si vede in figura:
![]()
Poichè nello spazio ci sono infiniti piani che hanno per intersezione una retta r, il sistema che individua la retta r non è unico.
![]()
E l'insieme degli infiniti piani che si intersecano lungo la retta r è detto fascio di piani di sostegno la retta r. L'equazione di questo fascio di piani si ottiene come combinazione lineare delle equazioni dei due piani. In generale,
data la retta r definita dal sistema
![]()
l'equazione del fascio di piani di sostegno la retta r è:
ax + by + cz + d + k(a'x + b'y + c'z + d' = 0
dove k è un numero reale. Ad esempio, considerando il sistema di equazioni della retta precedente si ha:
4x . y + z + 1 + k(x - 4y + z - 3) = 0
E ponendo k = ! si ottiene un altro piano del fascio che contiene la retta r:
5x . 5y + 2z - 2 = 0
Come si vede in figura:
![]()
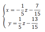
Se nel sistema di equazioni della retta si esplicitano due variabili in funzione della terza, le due equazioni prendono il nome di equazioni ridotte. Se consideriamo l'esempio precedente e esplicitiamo le variabili x e y in funzione di z otteniamo l'equazione ridotta della retta r:
![]()
In generale le equazioni ridotte di una retta sono:
![]()
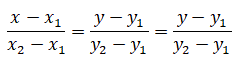
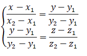
Anche nello spazio per due punti passa una sola retta. Ad esempio per i punti A(x1,y1,z1) e B(x2,y2,z2) l'equazione della retta passante per A e B è:
![]()
Cioè
![]()
Ad esempio la retta passante per i punti A(-3,-2,-1) e B(1,2,3) ha per equazione:
![]()
Ed ecco la sua rappresentazione nel sistema cartesiano nello spazio:
![]()