Indice
Introduzione alla geometria analitica dello spazio
Punti simmetrici rispetto agli assi e rispetto all'origine
Punti simmetrici rispetto ai piani coordinati
Distanza tra due punti nello spazio
Punto medio di un segmento
Equazione generale del piano
Piano passante per tre punti non allineati
Piani paralleli
Piani secanti e piani perpendicolari
L'equazione di una retta nello spazio
Vettori nello spazio
Vettori e oggetti geometrici nello spazio
Distanza di un punto da un piano
Distanza di un punto da una retta
L'equazione di una superficie sferica
Piano passante per tre punti non allineati
Dalla geometria euclidea sappiamo che per tre punti non allineati passa un unico piano, vediamo allora come possiamo determinare l'equazione di un piano nello spazio riferito a un sistema di riferimento cartesiano ortogonale dati le coordinate di tre punti non allineati.
Ad esempio, determiniamo l'equazione del piano dello spazio passante per i tre punti non allineatiA(0, -2, 0), B(0, 1, -2), C(1, 0, 3)
Osservando la disposizione dei punti nello spazio cartesiano
![]()
possiamo verificare che il piano che contiene i tre punti dati non passa per l'origine e ciò vuol dire che d ≠ 0 e l'equazione generale del piano è del tipo
ax + by + cz + d = 0
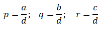
che contiene quattro parametri (a, b, c, d). Possiamo ridurre a tre i parametri dividendo i due membri dell'equazione per d e ciò è possibile essendo d diverso da zero.
![]()
Ponendo le condizioni
![]()
si ottiene
![]()
che è un'equazione lineare con solo tre parametri che possiamo determinare imponendo che i punti A, B, C appartengono al piano di equazione px+qy+rz+1=0.
![]()
da cui si ottiene
![]()
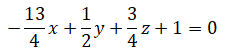
e sostituendo nell'equazione px+qy+rz+1=0 si ha
![]()
per cui l'equazione del piano passante per i tre punti dati è
![]()
![]()