Indice
Introduzione alla geometria analitica dello spazio
Punti simmetrici rispetto agli assi e rispetto all'origine
Punti simmetrici rispetto ai piani coordinati
Distanza tra due punti nello spazio
Punto medio di un segmento
Equazione generale del piano
Piano passante per tre punti non allineati
Piani paralleli
Piani secanti e piani perpendicolari
L'equazione di una retta nello spazio
Vettori nello spazio
Vettori e oggetti geometrici nello spazio
Distanza di un punto da un piano
Distanza di un punto da una retta
L'equazione di una superficie sferica
Punto medio di un segmento
Consideriamo due punti A(x1, y1, z1) e B(x2, y2, z2) dello spazio e determiniamo le coordinate del loro punto medio M. Consideriamo A'B' e M' le proiezioni di AB e di M sul piano xy:
![]()
Per il teorema di Talete M' è il punto medio del segmento A'B', inoltre M e M', A e A', B e B' hanno la stessa ascissa. Essendo A'B' un segmento del piano xy possiamo determinare l'ascissa del suo punto medio con la stessa formula utilizzata nel piano:
![]()
In modo del tutto analogo possiamo determinare l'ordinata e la quota del punto medio M.
![]()
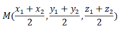
Pertanto le coordinate di M punto medio del segmento AB sono:
![]()
Ad esempio, determiniamo le coordinate del punto medio M del segmento che ha per estremi A(3,4,5) e B(-5,0,3).
applicando le formule si ottiene:
![]()
Anche in questo caso, questa formula è una estensione dell'analoga formula per determinare le coordinate del punto medio di un segmento nel piano.
![]()