Indice
Introduzione alla geometria analitica dello spazio
Punti simmetrici rispetto agli assi e rispetto all'origine
Punti simmetrici rispetto ai piani coordinati
Distanza tra due punti nello spazio
Punto medio di un segmento
Equazione generale del piano
Piano passante per tre punti non allineati
Piani paralleli
Piani secanti e piani perpendicolari
L'equazione di una retta nello spazio
Vettori nello spazio
Vettori e oggetti geometrici nello spazio
Distanza di un punto da un piano
Distanza di un punto da una retta
L'equazione di una superficie sferica
Vettori e oggetti geometrici nello spazio
Vediamo con l'ausilio dei vettori e delle loro proprietà come sia possibile determinare le relazioni fra gli oggetti geometrici nello spazio.
Equazione di un piano nello spazio.
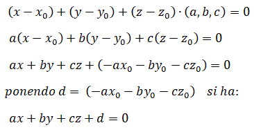
Un piano è univocamente determinato se si conoscono un suo punto P(x0, y0, z0) e un vettore v(a,b,c) ad esso perpendicolare, un tale vettore è detto vettore normale al piano. Ora, un generico punto P(x.y.z) appartiene al piano se e solo se il vettore P0P è ortogonale al vettore normale.
![]()
Dalle proprietà dei vettori sappiamo che due vettori sono perpendicolari fra loro se il loro prodotto scalare è nulla. Possiamo quindi scrivere:
![]()
Cioè
![]()
Osservazione: nell'equazione del piano le componenti del vettore (a,b,c) sono i coefficienti delle incognite. Vediamo due esempi:
Determiniamo l'equazione del piano passante per il punto P(1,-2,1) e di vettore normale v(2,3,1).
Applicando la formula si ha:2(x-1) + 3(y+2) + 1(z-1) = 0
Sviluppando si ottiene:
2x + 3y + z + 3 = 0
Determiniamo il vettore normale al piano: 2x - 3y + z + 4 = 0
Le componenti scalari del vettore normale al piano dato sono i coefficienti delle incognite dell'equazione del piano e quinndi possiamo scrivere v(2,-3,1)Posizione reciproca tra due piani: piani paralleli.
Due piani sono paralleli se e solo se sono paralleli i corrispondenti vettori normali. Dalle proprietà dei vettori sappiamo che due vettori sono fra loro paralleli se i corrispondenti componeneti scalari hanno lo stesso rapporto. Pertanto, i due piani di equazioni:ax + by + cz + d = 0   a'x + b'y + c'y + d' = 0
sono paralleli se lo sono i due vettori normali v(a,b,c) e w(a',b',c') e ciò si verifica se:
a = ka', b = kb', c = kc'
Vediamo due esempi:
Verifichiamo se sono paralleli i piani: x-2y+4z+1=0 e 3x-6y+12z-3=0.
Essendo il rapporto costante e uguale a 1/3 fra i corrispondenti coefficienti i due piani sono fra loro paralleli.Determiniamo il piano parallelo al piano x-3y+2z+1=0 e passante per il punto P(2,1,3).
Il piano da determinare appartiene al fascio improprio di equazione x−3y+2z+k=0. Imponendo il passaggio per il punto P otteniamo:2 ⋅ 1 + 1 ⋅ (-3) + 3 ⋅ 2 + k = 0
Risolvendo si ha: k=-5 e quindi il piano cercato è:
x - 3y + 2z - 5 = 0
Posizione reciproca tra due piani: piani perpendicolari.
Due piani sono perpendicolari se e solo se sono perpendicolari i corrispondenti vettori normali. Dalle proprietà dei vettori sappiamo che due vettori sono fra loro perpendicolari se la somma tra i prodotti dei corrispondenti componeneti scalari è nulla. Pertanto, i due piani di equazioni:ax + by + cz + d = 0   a'x + b'y + c'y + d' = 0
sono perpendicolari se lo sono i due vettori normali v(a,b,c) e w(a',b',c') e ciò si verifica se:
aa' + bb' + cc' = 0
Vediamo un esempio:
Verifichiamo se sono perprndicolari i piani: 3x+y-z=0 e x+2y+5z=0.
Calcoliamo la somma dei prodotti deicorrispondenti coefficienti d incognite:3⋅ 1 + 1 ⋅ 2 + (-1) ⋅ 5 = 0
Essendo la somma uguale a zero i due piani sono fra loro perpendicolari.
Equazione di una retta nello spazio.
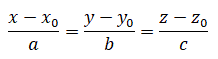
Una retta r nello spazio è univocamente determinato se si conoscono un suo punto P0(x0, y0, z0) e un vettore v(a,b,c) parallelo alla retta r. Il vettore parallelo alla retta r è chiamato vettore direzione della retta. Un generico punto P(x,y,z) appartiene alla retta r se e solo se il vettore che unisce i punti P e P0 è parallelo al vettore v. Dalle proprietà dei vettori sappiamo che due vettori sono paralleli se un vettore è un multiplo dell'altro vettore:
![]()
dove t è un numero reale. E passando alle componenti si ha:
![]()
Cioè:
![]()
Queste ultime equazioni sono dette equazioni parametriche della retta. Se i numeri a, b, c non sono nulli possiamo eliminare il parametro t e scrivere l'equazione cartesiana della retta:
![]()
Vediamo alcuni esempi.
Determiniamo l'equazione della retta passante per il punto P(5,-6.-1) e parallela al vettore V(1,3,-2).
Apllicando la formula si ottiene:
![]()
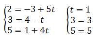
Verifica che il punto P(2,3,5) appartiene alla retta
![]()
Sostituiamo le coordinate del punto nell'equazione della retta: tutte e tre le equazioni devono essere soddisfatte.
![]()
Il punto appartiene alla retta.
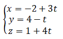
Determiniamo le equazioni parametriche della retta passante per i due punti A(-2,4,1) e B(1,3,5).
Individuiamo il vettore direzione che ha per estremi i due punti A e B.
(1-(-2), 3-4, 5-1)
Quindi le componenti scalari del vettore sono:
(3, -1, 4)
Ora, possiamo determinare le equazioni della retta conoscendo uno dei due punti A (o B) che appartengono alla retta e il vettore direzione:
![]()
Ecco la rappresentazione nello spazio.
![]()
Condizione di parallelismo e di perpendicolarità fra due rette.
Due rette r e s nello spazio sono parallele se e solo se lo sono i corrispondenti vettori direzione. Dalle proprietà dei vettori sappiamo che due vettori sono fra loro paralleli se i corrispondenti componeneti scalari hanno lo stesso rapporto. Pertanto, se i due vettori direzione sono v(a,b,c) e w(a',b',c') le due rette sono parallele se:a = ka', b = kb', c = kc'
Due rette r e s nello spazio sono perpendicolari se e solo se lo sono i corrispondenti vettori direzione. Dalle proprietà dei vettori sappiamo che due vettori sono fra loro perpendicolari se il loro prodotto scalare è nullo. Pertanto, se i due vettori direzione sono v(a,b,c) e w(a',b',c') le due rette sono pependicolari se:
aa' + bb' + cc' = 0
Vediamo un esempio.
Le due rette
![]()
sono parallele o perpendicolari?
I vettori direzione delle due rette sono V(-1,2,-3) e w(-2,4,-6). Essendo v=2w i due vettori direzione delle rette sono paralleli e quindi anche le rette sono parallele.