Indice
Introduzione alla geometria analitica dello spazio
Punti simmetrici rispetto agli assi e rispetto all'origine
Punti simmetrici rispetto ai piani coordinati
Distanza tra due punti nello spazio
Punto medio di un segmento
Equazione generale del piano
Piano passante per tre punti non allineati
Piani paralleli
Piani secanti e piani perpendicolari
L'equazione di una retta nello spazio
Vettori nello spazio
Vettori e oggetti geometrici nello spazio
Distanza di un punto da un piano
Distanza di un punto da una retta
L'equazione di una superficie sferica
Vettori nello spazio
E' utile introdurre le proprietà dei vettori nello spazio perchè ci consentiranno di semplificare lo studio di rette e piani in uno spazio cartesiano ortogonale.
Un vettore indica uno spostamento e quindi è caratterizzato da tre elementi: direzione, verso, intensità (chiamata anche modulo). Di solito un vettore viene indicato con una lettera minuscola a cui viene sovrapposto una freccia e rappresentato graficamente con un segmento orientato, la direzione è quella della retta che contiene il segmento, il verso è quello indicato dalla freccia che indica il senso di percorrenza della retta e l'intensità è data dalla lunghezza del segmento.
![]()
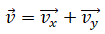
Due vettori sono uguali se hanno la stessa lunghezza, la stessa direzione e lo stesso verso. Pertanto sia nel piano cartesiano sia nello spazio cartesiano dato un qualsiasi vettore, potremo sempre considerarne uno uguale e applicato all'origine. Un vettore applicato all'origine può essere individuato tramite le sue componenti lungo le direzioni del sistema di riferimento: nel piano un vettore può essere scomposto in due componenti cioè in due vettori che hanno per direzione e verso rispettivamente l'asse x e l'asse y. In questo caso il vettore è uguale alla somma delle componenti cartesiane.
![]()
![]()
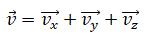
Nello spazio un vettore può essere scomposto in tre vettori che hanno per direzione e verso rispettivamente l'asse x, l'asse y e l'asse z.
![]()
![]()
Dalla rappresentazione di un vettore mediante le componenti cartesiane ne segue che ad ogni punto P del piano cartesiano o dello spazio cartesiano possiamo associare un vettore che ha per estremi l'origine O e il punto P stesso. In questo modo possiamo individuare il vettore, nel piano con la coppia ordinata (x, y) del punto P e scrivere v(x, y) e nello spazio con la terna ordinata (x, y, z) del punto P e scrivere v(x, y, z) dove x, y, z essendo dei numeri reali sono le componenti scalari del vettore.
![]()
Al punto P nell'origine possiamo associare nel piano il vettore v(0, 0) e nello spazio il vettore v(0, 0, 0) in entrambi i casi si dice che il vettore è nullo. La lunghezza del segmento OP rappresenta il modulo del vettore pertanto possiamo scrivere
![]()
Vediamo ora le principali operazioni che possiamo eseguire con i vettori in un riferimento cartesiano:
Somma di due vettori.
Nel piano:
La somma di due vettori v(x1, y1), w(x2, y2) si determina con la regola del parallelogramma.
![]()
Ed è uguale a un vettore avente per componenti la somma delle componenti dei due vettori
v(x1, y1) + w(x2, y2) = t(x1 + x2, y1 + y2)
Nello spazio:
Per analogia la somma di due vettori è uguale a un vettore avente per componenti la somma delle componenti dei due vettoriv(x1, y1, z1 ) + w(x2, y2, z2) = t(x1 + x2, y1 + y2, z1 + z2)
Prodotto di un vettore per un numero reale.
Nel piano:
Il prodotto di un vettore v(x, y) per un numero reale k è il vettore k⋅v che ha per componenti quelle del vettore v moltiplicate per k.k⋅v(k⋅x, k⋅y)
Ad esempio, il prodotto v(x1, y1) ⋅ 2 = 2v(2⋅x1, 2⋅y1)
![]()
Nello spazio:
Per analogia il prodotto di un vettore v(x, y, z) per un numero reale k è uguale ak⋅v(k⋅x, k⋅y, k⋅y)
Prodotto di un vettore per -1.
Nel piano:
Il prodotto di un vettore v(x, y) per -1 è il vettore opposto -v(-x, -y) che ha stessa direzione e stesso modulo di v ma verso opposto.
![]()
Nello spazio:
Per analogia il prodotto di un vettore v(x, y, z) per -1 è uguale a-v(-x, -y, -y)
Differenza di due vettori.
Nel piano:
La differenza tra due vettori v - w può essere considerata come la somma tra il vettore v con l'opposto del vettore w cioèv - w = v + (-w)
e se consideriamo le componenti si ha
v(x1, y1) + [-w(-x2, -y2)] = t(x1 - x2, y1 - y2)
![]()
Nello spazio:
Per analogia la differenza v - w è uguale av(x1, y1, z1 ) - w(-x2, -y2, -z2) = t(x1 - x2, y1 - y2, z1 - z2)
Prodotto scalare tra due vettori.
Nel piano:
Il prodotto scalare tra due vettori v(x1, y1), w(x2, y2) è un numero scalare cioè un numero reale ed è uguale alla somma dei prodotti delle componenti dei due vettori.
![]()
Da questa formula con alcuni passaggi trigonometrici si può dimostrare che il prodotto scalare tra due vettori è uguale al prodotto dei moduli dei vettori moltiplicato per il coseno dell'angolo compreso tra i vettori.
![]()
Vediamo questi passaggi: le componenti di un vettore possono essere espresse mediante il modulo del vettore e l'angolo che il vettore forma con l'asse x.
![]()
Pertanto se v e w sono i due vettori, α l'angolo compreso tra v e w, β l'angolo tra v e l'asse x, γ l'angolo tra w e l'asse x
![]()
possiamo allora scrivere:
![]()
Come si intuisce da questa formula il prodotto scalare tra due vettori, se nessuno dei due è nullo, può essere:
![]()
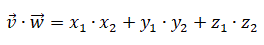
Nello spazio:
Per analogia il prodotto scalare tra due vettori è uguale a un numero reale che si ottiene dalla formula
![]()
oppure dalla formula
![]()