html lang="it">
Indice
Radici quadrate
Radici cubiche
Radici n-esime
Proprietà invariantiva dei radicali
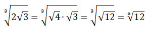
Riduzione di radicali allo stesso indice
La moltiplicazione fra radicali
La divisione fra radicali
Elevamento a potenza e estrazione di radice di radicali
Trasporto fuori e dentro il segno di radice
Somma algebrica di radicali
Razionalizzazioni
Radicali doppi
Potenze con esponente frazionario
Trasporto fuori e dentro il segno di radice
Consideriamo l'espressione
![]()
costituita da due fattori un numero e un radicale e scriviamo le seguenti uguaglianze:
![]()
Ora, se osserviamo questa catena di uguaglianze, nell'espressione iniziale è presente un numero moltiplicato per un radicale mentre nell'espressione finale c'è solo un radicale perchè con vari passaggi logici il numero è stato trasportato dentro il segno di radice.
In generale:
Se un radicale è moltiplicato per un numero reale non negativo, questo può essere trasportato sotto il segno di radice come fattore del radicando purchè lo si elevi all'indice del radicale.
Vediamo alcuni esempi.
Esempio 1: Trasportiamo il fattore esterno sotto il segno di radice
![]()
si ha:
![]()
Esempio 2: Semplifica in modo che compaia un solo segno di radice
![]()
si ha:
![]()
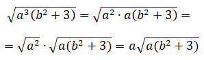
Esempio 3: Trasportiamo il fattore esterno sotto il segno di radice
![]()
C.E.: a ≥ 0
![]()
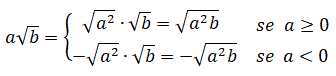
Se un radicale è moltiplicato per un numero negativo, si potrà trasportare sotto il segno di radice il suo valore assoluto elevato all'indice del radicale lasciando fuori dalla radice il segno meno. Ad esempio:
![]()
vediamo un'altro esempio:
Esempio 4: Trasportiamo il fattore esterno sotto il segno di radice
![]()
C.E.: b ≥ 0
![]()
La catena di uguaglianza
![]()
può essere letta da sinistra verso destra e viceversa da destra verso sinistra, cioè
![]()
In questo caso si dice che è stato trasportato un fattore fuori dal segno di radice.
In generale:
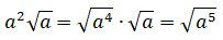
Se sotto il segno di radice è presente un fattore con esponente maggiore o uguale all'indice, si può trasportarlo fuori dal segno di radice; si divide l'esponente del fattore per l'indice, il quoziente sarà l'esponente del fattore fuori dal segno di radice e il resto sarà l'esponente del fattore dentro il segno di radice. Vediamo alcuni esempi:
Esempio 5: Trasportiamo un fattore fuori dal segno di radice
![]()
Si ha:
![]()
Esempio 6: Trasportiamo un fattore fuori dal segno di radice
![]()
C.E.: a ≥ 0
![]()
Quando si vuole trasportare fuori dal segno di radice un fattore di cui non si conosce il segno si scrive il fattore in valore assoluto. Ad esempio
![]()