html lang="it">
Indice
Radici quadrate
Radici cubiche
Radici n-esime
Proprietà invariantiva dei radicali
Riduzione di radicali allo stesso indice
La moltiplicazione fra radicali
La divisione fra radicali
Elevamento a potenza e estrazione di radice di radicali
Trasporto fuori e dentro il segno di radice
Somma algebrica di radicali
Razionalizzazioni
Radicali doppi
Potenze con esponente frazionario
Elevamento a potenza e estrazione di radice di radicali
La potenza m-esima di un radicale è un radicale che ha per indice lo stesso indice e per radicando la potenza m-esima del radicando.
![]()
Condizioni di esistenza dei radicali:
se n è pari: a≥0
se n è dispari: per ogni a ∈ R
Vediamo alcuni esempi.
Esempio 1: Eseguiamo la potenza
![]()
Si ha:
![]()
Esempio 2: Eseguiamo la potenza
![]()
C.E.:
![]()
Eseguendo la potenza si ha:
![]()
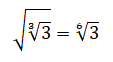
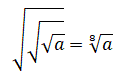
La radice m-esima di un radicale di indice n è un radicale che ha per indice il prodotto degli indici e per radicando lo stesso radicando.
![]()
Condizioni di esistenza dei radicali:
se n è pari o m è pari: a≥0
se n ed m sono dispari: per ogni a ∈ R
Vediamo alcuni esempi.
Esempio 3: Semplifica in modo che compaia un solo segno di radice
![]()
Si ha:
![]()
Esempio 4: Semplifica in modo che compaia un solo segno di radice
![]()
C.E: a≥0
![]()