html lang="it">
Indice
Radici quadrate
Radici cubiche
Radici n-esime
Proprietà invariantiva dei radicali
Riduzione di radicali allo stesso indice
La moltiplicazione fra radicali
La divisione fra radicali
Elevamento a potenza e estrazione di radice di radicali
Trasporto fuori e dentro il segno di radice
Somma algebrica di radicali
Razionalizzazioni
Radicali doppi
Potenze con esponente frazionario
La moltiplicazione fra radicali
Il prodotto di due radicali con lo stesso indice è un radicale che ha per indice lo stesso indice e per radicando il prodotto dei radicandi.
![]()
Condizioni di esistenza dei radicali:
se n è pari: a≥0 e b≥0
se n è dispari: per ogni a, b ∈ R
Vediamo alcuni esempi.
Esempio 1: Eseguiamo la moltiplicazione
![]()
Si ha:
![]()
Esempio 2: Eseguiamo la moltiplicazione
![]()
La C.E. dei radicali è x≥0.
![]()
Se i radicali hanno indici diversi, bisogna prima ridurli allo stesso indice (applicando la proprietà invariantiva) e poi eseguire la moltiplicazione. Vediamo alcuni esempi.
Esempio 3: Eseguiamo la moltiplicazione
![]()
Riduciamo i radicali allo stesso indice:
![]()
Eseguiamo il prodotto
![]()
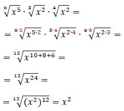
Esempio 4: Eseguiamo la moltiplicazione
![]()
La C.E. dei radicali è x≥0.
![]()