html lang="it">
Indice
Radici quadrate
Radici cubiche
Radici n-esime
Proprietà invariantiva dei radicali
Riduzione di radicali allo stesso indice
La moltiplicazione fra radicali
La divisione fra radicali
Elevamento a potenza e estrazione di radice di radicali
Trasporto fuori e dentro il segno di radice
Somma algebrica di radicali
Razionalizzazioni
Radicali doppi
Potenze con esponente frazionario
Razionalizzazioni
Quando si opera con una frazione che ha per denominatore un radicale o un'espressione con radicali si preferisce, per semplificare le operazioni, trasformare la frazione in un'altra equivalente ma con il denominatore razionale. Questa trasformazione è detta razionalizzazione del denominatore di una frazione e si effettua moltiplicando numeratore e denominatore per una stessa opportuna espressione. Vediamo i vari casi che si possono presentare:
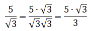
Primo caso: Il denominatore è un radicale quadratico.
In questo caso si moltiplicano numeratore e denominatore per il radicale stesso.
![]()
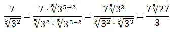
Secondo caso: Il denominatore è un radicale di indice n.
In questo caso si moltiplicano numeratore e denominatore per un radicale di indice n il cui radicando ha per base la stessa base del radicando dato e, per esponente la differenza tra l'indice e l'esponente del radicando dato.
![]()
Terzo caso: Il denominatore è la somma o differenza di due termini, dei quali almeno uno è un radicale quadratico.
In questo caso si moltiplicano numeratore e denominatore per un'espressione in modo che al denominatore si abbia un prodotto della differenza di due termini per la loro somma.
![]()