html lang="it">
Indice
Radici quadrate
Radici cubiche
Radici n-esime
Proprietà invariantiva dei radicali
Riduzione di radicali allo stesso indice
La moltiplicazione fra radicali
La divisione fra radicali
Elevamento a potenza e estrazione di radice di radicali
Trasporto fuori e dentro il segno di radice
Somma algebrica di radicali
Razionalizzazioni
Radicali doppi
Potenze con esponente frazionario
Riduzione di radicali allo stesso indice
Applicando la proprietà invariantiva è possibile trasformare due o più radicali di indici non tutti uguali in radicali equivalenti ma aventi lo stesso indice con tre semplici passaggi:
semplificare i radicali, se è possibile;
determinare il m.c.m. degli indici di tutti i radicali;
applicare la proprietà invariantiva in modo da trasformare ciascun radicale in uno equivalente avente per indice il m.c.m. degli indici.
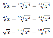
Ad esempio riduciamo allo stesso indice i radicali:
![]()
Calcoliamo il m.c.m. degli indici
m.c.m.(3, 4, 2) = 12
Applichiamo la proprietà invariantiva in modo che tutti i radicali abbiano per indice 12.
![]()
La riduzione di radicali allo stesso indice ci permette di poter confrontare due o più radicali aventi indici diversi. Ad esempio è semplice confrontare due radicali con lo stesso indice perchè è maggiore quello che ha il radicando maggiore.
![]()
Invece è meno semplice confrontare fra loro radicali con indici diversi, ad esempio il confronto tra i due radicali
![]()
In questi casi conviene ridurli prima a radicali equivalenti con lo stesso indice
![]()
e poi fare il confronto tra i radicandi.
![]()