html lang="it">
Indice
Radici quadrate
Radici cubiche
Radici n-esime
Proprietà invariantiva dei radicali
Riduzione di radicali allo stesso indice
La moltiplicazione fra radicali
La divisione fra radicali
Elevamento a potenza e estrazione di radice di radicali
Trasporto fuori e dentro il segno di radice
Somma algebrica di radicali
Razionalizzazioni
Radicali doppi
Potenze con esponente frazionario
Proprietà invariantiva dei radicali
Due radicali sono detti equivalenti se rappresentano lo stesso numero reale; ad esempio i due radicali
![]()
sono equivalenti perchè entrambi rappresentano il numero 3.
![]()
Possiamo ottenere radicali equivalenti applicando la proprietà invariantiva dei radicali:
Proprietà invariantiva:
Se il radicando è un numero reale non negativo possiamo ottenere un radicale equivalente moltiplicando per uno stesso numero naturale non nullo sia l'indice del radicale sia l'esponente del radicando. In simboli
![]()
Ad esempio:
![]()
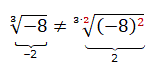
Attenzione, nell'applicare la proprietà invariantiva è necessario che il radicando sia un numero non negativo altrimenti la proprietà viene a cadere. Ad esempio applicando la proprietà invariantiva a un radicale con un radicando negativo
![]()
otteniamo due radicali non equivalenti. Se però il radicando è negativo e l'indice del radicale è dispari possiamo trasformare il radicale iniziale in un radicale ad esso equivalente ma con il radicando positivo trasportando il segno meno fuori dalla radice; ad esempio
![]()
e poi applicare la proprità invariantiva
![]()
La proprietà invariantiva può essere letta da sinistra verso destra e viceversa da destra verso sinistra
![]()
Cioè
Se il radicando è un numero reale non negativo possiamo ottenere un radicale equivalente dividendo l'indice del radicale e l'esponente del radicando per un divisore comune.
Ad esempio
![]()
La proprietà invariantiva può essere utile per semplificare un radicale e quindi ridurre il radicale a una forma equivalente più semplice. Quando si esegue la semplificazione di un radicale con indice pari bisogna però verificare se il radicale iniziale e quello semplificato siano effettivamente equivalenti. Ad esempio, consideriamo il radicale
![]()
il radicando (−3)6 è sicuramente un numero positivo inoltre l'indice del radicale e l'esponente del radicando hanno un divisore comune il 2 e quindi possiamo dividerli per 2. Siamo quindi indotti errroneamente a scrivere
![]()
Questa scrittura, però, non è equivalente al radicale iniziale anzi per definizione non è neppure un radicale perchè (−3)3 è un numero negativo e l'indice del radicale è pari. Come si può correggere l'errore? Essendo pari l'esponente del radicando possiamo considerare −3 in valore assoluto e quindi scrivere correttamente
![]()
In generale per la semplificazione di un radicale è utile applicare la regola pratica
![]()
Vediamo alcuni esempi di semplificazione.
Esempio 1: Semplifichiamo
![]()
Portando il segno meno fuori radice e applicando la proprietà invariantiva si ha
![]()
E' stata applicata la proprietà invariantiva perchè a2 è certamente un numero non negativo.
Esempio 2: Semplifichiamo
![]()
Qui potremmo applicare la proprietà invariantiva se a≥0 ma non se a<0. Allora è preferibile procedere così
![]()
In questo modo c'è concordanza di segno tra primo e secondo membro (sono entrambi sempre non negativi) mentre sarebbe stato un errore scrivere
![]()
Un radicale è detto irriducibile se il suo indice e l'esponente del radicando sono primi fra loro. Ad esempio il radicale
![]()
è irriducibile perchè indice ed esponente sono primi fra loro.