html lang="it">
Indice
Radici quadrate
Radici cubiche
Radici n-esime
Proprietà invariantiva dei radicali
Riduzione di radicali allo stesso indice
La moltiplicazione fra radicali
La divisione fra radicali
Elevamento a potenza e estrazione di radice di radicali
Trasporto fuori e dentro il segno di radice
Somma algebrica di radicali
Razionalizzazioni
Radicali doppi
Potenze con esponente frazionario
Somma algebrica di radicali
Osserviamo, prima di tutto, che in generale per la somma algebrica non valgono le proprietà analoghe a quelle relative alla moltiplicazione e alla divisione fra radicali. Ad esempio
![]()
Cioè
![]()
Possiamo, però, sommare due radicali che hanno lo stesso radicando e lo stesso indice
![]()
applicando la proprietà distributiva
![]()
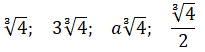
In pratica si possono sommare algebricamente solo radicali simili. Diremo che due radicali sono simili se, una volta semplificati, hanno lo stesso radicando e lo stesso indice. I radicali simili possono differire solo per il fattore che li moltiplica detto coefficiente del radicale. Ad esempio sono simili i radicali
![]()
invece, non sono simili i radicali
![]()
La somma algebrica di due o più radicali simili è un radicale simili, agli addendi, che ha come coefficiente la somma algebrica dei coefficienti.
![]()
Vediamo alcuni esempi
Esempio 1: Esegui la somma algebrica
![]()
Sembra che non ci siano termini simili, però se semplifichiamo i radicali
![]()
Esempio 2: Esegui la somma algebrica
![]()
Semplifichiamo i radicali e eseguiamo la somma algebrica
![]()
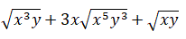
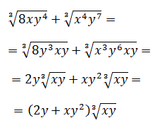
Esempio 3: Esegui la somma algebrica
![]()
Semplifichiamo i radicali e eseguiamo la somma algebrica
![]()