Indice
Radici quadrate
Radici cubiche
Radici n-esime
Proprietà invariantiva dei radicali
Riduzione di radicali allo stesso indice
La moltiplicazione fra radicali
La divisione fra radicali
Elevamento a potenza e estrazione di radice di radicali
Trasporto fuori e dentro il segno di radice
Somma algebrica di radicali
Razionalizzazioni
Radicali doppi
Potenze con esponente frazionario
Potenze con esponente frazionario
L'estrazione di radice e l'elevamento a potenza sono due operazioni strettamente legate tra loro e questo legame permette di estendere il concetto di potenza al caso in cui l'esponente è un numero razionale.
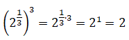
Ad esempio, consideriamo la potenza
![]()
e una delle proprietà fondamentali delle potenze
(an)m = amn
dove n ed m sono numeri interi. Possiamo scrivere
![]()
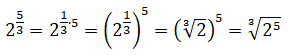
e quindi si può definire
![]()
come quel numero reale il cui cubo è 2, e come sappiamo questo numero è il radicale
![]()
Possiamo allora porre l'uguaglianza
![]()
Applicando lo stesso ragionamento possiamo trasformare la potenza ad esponente razionale
![]()
nel corrispondente radicale
![]()
In generale:
La potenza di un numero reale a non negativo avente per esponente un numero razionale m/n (m e n numeri naturali con n≠0) è equivalente al radicale che ha per indice il denominatore del numero razionale e per radicando la potenza del numero avente per esponente il numeratore del numero razionale.
![]()
Per l'uguaglianza vale la proprietà simmetrica e quindi possiamo dire:
Un radicale che ha per radicacando una potenza con base non negativa è equivalente a una potenza che ha per base la stessa base del radicando e per esponente una frazione che ha per denominatore l'indice del radicale e per numeratore l'esponente del radicando
![]()
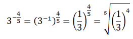
Consideriamo il caso in cui la potenza ha per base un numero reale maggiore di zero e per esponente un numero razionale negativo.
![]()
In questo caso possiamo scrivere
![]()
Nella definizione di potenza a esponente razionale si è supposto che la base non sia negativa e ciò è necessario per evitare sia scritture prive di significato sia scritture non univocamente determinate. Ad esempio
Se a=-6 la scrittura
![]()
è priva di significato (non esiste la radice quadrata di un numero negativo)
Se a=-8 la scrittura
![]()
genera un'ambiguità. Se non riduciamo la frazione avremmo
![]()
Mentre riducendo l'esponente ai minimi termini si ha
![]()
E i due risultati sono diversi.
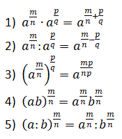
Per le potenze ad esponente razionale valgono le stesse proprietà che abbiamo già esaminato per le potenze ad esponente intero. In particolare:
![]()