Indice
Introduzione
Perimetro e area di un poligono regolare
Relazioni tra lato, apotema, raggio e area
Altre relazioni con funzioni trigonometriche
Assi di simmetria nei poligoni regolari
Simmetria rotazionale nei poligoni regolari
Poligoni regolari e simmetria diedrale
Tassellazioni regolari
Tassellazioni semiregolari
Problemi di massimo e minimo
Le proprietà del pentagono regolare
Costruzione di un poligono con riga e compasso
Tassellazioni semiregolari
Una tassellazione formata da poligoni regolari ma non tutti dello stesso tipo e quelli dello stesso tipo sono congruenti e in ogni vertice sono presenti gli stessi poligono è detta tassellazioni semiregolare o tassellazioni di Archimede, o tassellazioni omogenee o tassellazioni uniformi. Ecco ad esempio, un pavimento con una tassellazione semiregolare:
![]()
In ogni vertice convergono tre poligoni: due ottagoni regolari congruenti e un quadrato, La somma degli angoli che si formano in ogni vertice è:
135° + 135° + 90° = 360°
Quante tassellazioni semiregolari sono possibili?
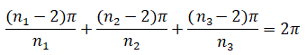
Consideriamo una situazione locale intorno a un singolo punto del piano. In quel punto del piano i vertici dei poligoni devono combaciare e per non avere parziali sovrapposizioni o buchi la somma degli angoli al vertice dei poligoni che concorrono in quel punto deve essere uguale a 2Π. Supponiamo che in quel punto combaciano i vertici di tre poligoni regolari aventi rispettivamente n1, n2 e n3 lati. Conoscendo la relazione tra le ampiezze degli angoli e dei lati di un poligono regolare possiamo scrivere l'equazione:
![]()
Da cui si ottiene:
![]()
E le uniche terne intere ammissibili sono:
(3, 7, 42), (3, 8, 24), (3, 9, 18), (3, 10, 15) (3, 12, 12),
(4, 5, 20), (4, 6, 12), (4, 8, 8) (5, 5, 10), (6, 6, 6)
Ad esempio, se consideriamo la prima terna 3, 7, 42 possiamo dire che nel punto del piano considerato combaciano i vertici di un triangolo equilatero, di un ettagono regolare e di un poligono regolare di 42 lati e la somma degli angoli che concorrono in quel punto è uguale a:
60° + 128,57° + 171,43° = 360°
Traducendo queste 10 terne numeriche in terne di poligoni regolari si ottengono le seguenti configurazioni:
![]()
![]()
Se nel punto combaciano i vertici di quattro poligoni regolari, applicando lo stesso procedimento si ottengono le seguenti quaterne di numeri interi:
(3, 3, 4, 12), (3, 4, 3, 12), (3, 4, 4, 6), (3, 4, 6, 4), (3, 3, 6, 6), (3, 6, 3, 6), (4, 4, 4, 4)
![]()
Se nel punto combaciano i vertici di cinque poligoni regolari, applicando lo stesso procedimento si ottengono le seguenti cinquine di numeri interi:
(3, 3, 4, 3, 4), (3, 3, 3, 4, 4), (3, 3, 3, 3, 6)
![]()
Infine se combaciano i vertici di sei poligoni regolari si ha la sequente sestina:
(3, 3, 3, 3, 3, 3)
![]()
Ci sono quindi, in totale ventuno possibili situazioni locali. Se estendiamo queste situazioni locali a tutto il piano possiamo facilmente verificare che non tutte danno luogo a una tassellazione semiregolare perchè in alcuni casi si hanno delle sovrapposizioni parziali dei poligoni come possiamo vedere nella seguente figura con la combinazione pentagono, pentagono, decagono.
![]()
Pertanto le possibili tassellazioni semiregolari del piano (escludendo le tassellazioni regolari) sono in tutto otto:
In due tassellazioni ci sono due tipi di poligoni: quadrato e triangolo regolare. Nella prima tassellazione in ogni punto si ripete la combinazione 3, 3, 3, 4, 4 e quindi 60°+60°+60°+90°+90°=360°, nella seconda si ripete la combinazione 3, 3, 4. 3. 4 e quindi 60°+60°+90°+60°+90°=360°.
![]()
In due tassellazioni ci sono due tipi di poligoni: esagono regolare e triangolo equilatero. Nella prima tassellazione in ogni punto si ripete la combinazione 3, 6, 3, 6 e quindi 60°+120°+60°+120°=360°, nella seconda si ripete la combinazione 3, 3, 3. 3. 6 e quindi 60°+60°+60°+60°+120°=360°.
![]()
In una tassellazione ci sono due tipi di poligoni: dodecagono e triangolo equilatero. In ogni punti si ripete la combinazione 3, 12, 12 e quindi 60°+150°+150°=360°.
![]()
In una tassellazione ci sono due tipi di poligoni: ottagono regolare e quadrato. In ogni punti si ripete la combinazione 4, 8, 8 e quindi 90°+135°+135°=360°.
![]()
In una tassellazione ci sono tre tipi di poligoni: esagono regolare, quadrato e triangolo equilatero. In ogni punti si ripete la combinazione 3, 4, 6, 4 e quindi 60°+90°+120°+90°=360°.
![]()
In una tassellazione ci sono tre tipi di poligoni: dodecagono regolare, esagono regolare e quadrato. In ogni punti si ripete la combinazione 4, 6, 12 e quindi 90°+120°+150°+90°=360°.
![]()