Indice
Introduzione
Perimetro e area di un poligono regolare
Relazioni tra lato, apotema, raggio e area
Altre relazioni con funzioni trigonometriche
Assi di simmetria nei poligoni regolari
Simmetria rotazionale nei poligoni regolari
Poligoni regolari e simmetria diedrale
Tassellazioni regolari
Tassellazioni semiregolari
Problemi di massimo e minimo
Le proprietà del pentagono regolare
Costruzione di un poligono con riga e compasso
Relazioni tra lato, apotema, raggio e area
Abbiamo visto che ogni poligono regolare di n lati può essere scomposto in n triangoli isosceli congruenti congiungendo il centro del poligono con i vertici. Questi triangoli hanno per base un lato del poligono, per altezza l'apotema del poligono e per lato obbliquo il raggio del poligono. Inoltre, la metà del lato, l'apotema e il raggio del poligono formano un triangolo rettangolo.
![]()
Possiamo allora, mediante il teorema di Pitagora, stabilire delle relazioni tra questi tre elementi e l'area del poligono. Vediamo alcuni esempi:
Triangolo equilatero
Osserviamo la figura:
![]()
Applicando il teorema di Pitagora al triangolo rettangolo BDE possiamo ottenere le relazioni fra lato e raggio e fra apotema e raggio:
![]()
Utilizzando queste relazioni possiamo ottenere:
La formula dell'area in funzione del raggio R del poligono.
![]()
La formula dell'area in funzione del lato del poligono.
![]()
La formula dell'area in funzione dell'apotema del poligono.
![]()
Il numero reale che rappresenta il valore della costante dell'area del poligono.
![]()
Il numero reale che rappresenta il valore del numero fisso del poligono.
![]()
Quadrato
Osserviamo la figura:
![]()
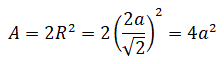
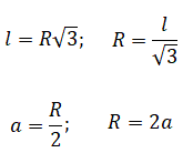
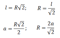
Applicando il teorema di Pitagora al triangolo rettangolo BEF possiamo ottenere le relazioni fra lato e raggio e fra apotema e raggio:
![]()
Utilizzando queste relazioni possiamo ottenere:
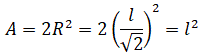
La formula dell'area in funzione del raggio R del poligono.
![]()
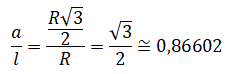
La formula dell'area in funzione del lato del poligono.
![]()
La formula dell'area in funzione dell'apotema del poligono.
![]()
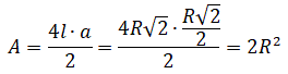
Il numero reale che rappresenta il valore della costante dell'area del poligono.
k = 1
Il numero reale che rappresenta il valore del numero fisso del poligono.
![]()
Esagono regolare
Osserviamo la figura:
![]()
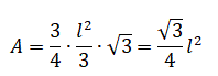
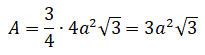
Applicando il teorema di Pitagora al triangolo rettangolo BGH possiamo ottenere le relazioni fra lato e raggio e fra apotema e raggio:
![]()
Utilizzando queste relazioni possiamo ottenere:
La formula dell'area in funzione del raggio R del poligono.
![]()
La formula dell'area in funzione del lato del poligono.
![]()
La formula dell'area in funzione dell'apotema del poligono.
![]()
Il numero reale che rappresenta il valore della costante dell'area del poligono.
![]()
Il numero reale che rappresenta il valore del numero fisso del poligono.
![]()