Indice
Introduzione
Perimetro e area di un poligono regolare
Relazioni tra lato, apotema, raggio e area
Altre relazioni con funzioni trigonometriche
Assi di simmetria nei poligoni regolari
Simmetria rotazionale nei poligoni regolari
Poligoni regolari e simmetria diedrale
Tassellazioni regolari
Tassellazioni semiregolari
Problemi di massimo e minimo
Le proprietà del pentagono regolare
Costruzione di un poligono con riga e compasso
Tassellazioni regolari
Per tassellazione del piano si intende il ricoprimento di una superficie piana con poligoni che si ripetono in modo che non ci siano nè sovrapposizioni nè spazi vuoti. Le tasselazioni del piano sono anche dette pavimentazioni o mosaici e i poligoni che compongono la tassellazione sono anche detti tessere o piastrelle per ricordare il loro uso più comune nella vita reale.
![]()
Non è nemmeno difficile trovare esempi di tassellazioni in natura basta osservare la sezione di un alveare, le ali di un insetto, la pelle di un serpente o le squame di un pesce. Quando i poligoni sono tutti uguali e regolari si dice che la tasselazione è regolare. Quante tassellazioni regolari sono possibili? Se consideriamo che ogni lato di un poligono regolare sia lato di un poligono regolare adiacente e quindi i poligoni siano disposti lato a lato si intuisce che per non avere buchi o sovrapposizioni tra i poligoni regolari si devono rispettare due condizioni:
Se P è un vertice della tassellazione
in ogni vertice P devono convergere almeno tre copie di poligoni regolari;
la somma delle misure degli angoli intorno al vertice in P deve essere uguale a 360°.
Ciò significa che gli angoli interni del poligono regolare devono avere per ampiezza un sottomultipli di 360°. Vediamo alcuni casi:
Triangolo equilatero.
L'angolo interno di un triangolo equilatero è di 60° e essendo 60° un sottomultiplo di 360°, disponendo sei trianngoli equilateri intorno a un vertice si ottiene un angolo giro e quindi è possibile una tassellazione con tutti triangoli equilateri.
![]()
Quadrato.
L'angolo interno di un quadrato è di 90° e essendo 90° un sottomultiplo di 360°, disponendo quattro quadrati intorno a un vertice si ottiene un angolo giro e quindi è possibile una tassellazione con tutti quadrati.
![]()
Pentagono regolare.
L'angolo interno di un pentagono regolare è di 108° e non essendo 108° un sottomultiplo di 360°, non è possibbile ottenere una tassellazione con tutti pentagoni regolari. Infatti, accostando tre pentagoni regolari la somma degli angoli che convengono in un vertice è di 324° e quindi si crea un buco di 36°. Accostando quattro pentagoni regolari la somma degli angoli che convengono in un vertice è di 432° e quindi si crea una parziale sovrapposizione.
![]()
Esagono regolare.
L'angolo interno di un esagono regolare è di 120° e essendo 120° un sottomultiplo di 360°, disponendo tre esagoni regolari intorno a un vertice si ottiene un angolo giro e quindi è possibile una tassellazione con tutti esagoni regolari.
![]()
Ettagono regolare.
L'angolo interno di un ettagono regolare è di 128,57° e non essendo 128,57° un sottomultiplo di 360°, non è possibbile ottenere una tassellazione con tutti ettagoni regolari. Accostando tre ettagoni regolari si ha una parziale una sovrapposizione.
![]()
Si può facilmente intuire che non esistono tassellazioni regolari con poligoni regolari che abbiano più di sei lati perchè gli angoli interni di questi poligoni sono maggiori di 120° e quindi troppo ampi per poter accostare almeno tre poligoni intorno a un punto in modo da formare un angolo di 360°. In conclusione ci sono solo tre tipi di tasselazioni regolari.
![]()
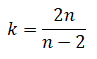
Possiamo verificare questo risultato con un procedimento algebrico: se indichiamo con n è il numero dei lati del poligono regolare, con α l'ampiezza dell'angolo interno del poligono
![]()
e con k è il numero dei poligono che hanno il vertice in comune intorno a un punto in modo da formare un angolo di 360° ovvero 2Π possiamo scrivere la seguente equazione:
![]()
E svolgendo rispetto a k si ottiene:
![]()
Che si può scrivere anche in questo modo:
![]()
Dovendo essere k un numero intero ne segue che n-2 deve essere un divisore di 4 per cui n può assumere solo i vaore 3, 4, 6 e quindi le uniche coppie intere ammissibili sono:
(n=3, k=6), (n=4, k=4), (n=6, k=3)