Indice
Introduzione
Perimetro e area di un poligono regolare
Relazioni tra lato, apotema, raggio e area
Altre relazioni con funzioni trigonometriche
Assi di simmetria nei poligoni regolari
Simmetria rotazionale nei poligoni regolari
Poligoni regolari e simmetria diedrale
Tassellazioni regolari
Tassellazioni semiregolari
Problemi di massimo e minimo
Le proprietà del pentagono regolare
Costruzione di un poligono con riga e compasso
Perimetro e area di un poligono regolare
Utilizzando le proprietà generali dei poligoni regolari, possiamo facilmente ottenere le formule per determinare il perimetro e l'area di un qualsiasi poligono regolare di n lati.
Poichè un poligono regolare di n lati ha i lati tutti uguali, il suo perimetro si ottiene moltiplicando la lunghezza del lato l per il numero n dei lati:
2 p = n ⋅ l
Ogni poligono regolare di n lati può essere diviso in n triangoli isosceli congruenti congiungendo il centro con i suoi vertici.
![]()
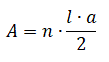
Possiamo quindi determinare l'area del poligono regolare di n lati sommando le n aree dei triangoli isosceli. Sapendo che l'area di un triangolo si ottiene moltiplicando la base, (che è il lato del poligono regolare), per la relativa altezza, (che è l'apotema del poligono regolare), diviso due possiamo scrivere:
![]()
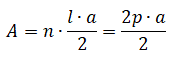
Essendo n ⋅ l = 2p possiamo scrivere la formula dell'area anche in un altro modo:
![]()
E quindi, l'area del poligono regolare si ottiene dividendo per 2 il prodotto del perimetro per l'apotema.
Il rapporto costante fra la misura dell'apotema e la misura del lato nei poligoni regolari con lo stesso numero dei lati è chiamato numero fisso del poligono e indicato con il simbolo f.
![]()
Da questa formula possiamo determinare l'apotema in funzione del lato oppure il lato in funzione dell'apotema:
a = f ⋅ l; l = a : f
I valori approssimati del numero fisso dei poligoni regolari da 3 a 10 lati sono indicati nella seguente tabella:
![]()
Il numero fisso di un poligono regolare di n lati ci permette di poter determinare il lato del poligono conoscendo l'apotema e viceversa. Inoltre, conoscendo il lato e l'apotema di un poligono regolare possiamo determinare il raggio del poligono con il teorema di Pitagora. Questo vuol dire che possiamo determinare tutti gli elementi di un poligono regolare di n lati conoscendo la misura di un solo suo elemento: il lato o l'apotema o il raggio del poligono.
Sostituendo nella formula dell'area l'apotema con il prodotto fra il numero fisso e il lato si ottiene:
![]()
dove k è un valore costante dell'area del poligono regolare di n lati. Nella seguente tabella sono indicati i valori approssimati della costante dell'area dei primi poligoni regolari.
![]()