Indice
Introduzione
Perimetro e area di un poligono regolare
Relazioni tra lato, apotema, raggio e area
Altre relazioni con funzioni trigonometriche
Assi di simmetria nei poligoni regolari
Simmetria rotazionale nei poligoni regolari
Poligoni regolari e simmetria diedrale
Tassellazioni regolari
Tassellazioni semiregolari
Problemi di massimo e minimo
Le proprietà del pentagono regolare
Costruzione di un poligono con riga e compasso
Altre relazioni con funzioni trigonometriche
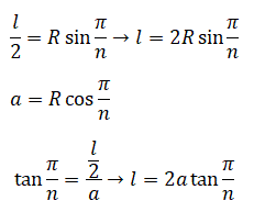
Consideriamo un poligono regolare e il triangolo rettangolo avente per cateti la metà del lato e l'apotema e per ipotenusa il raggio del poligono. L'angolo acuto di questo triangolo rettangolo che ha per vertice il centro del poligono ha ampiezza Π/n:
![]()
In base alle definizioni di seno, coseno e tangente di un angolo possiamo scrivere le seguente relazioni:
![]()
L'area del triangolo rettangolo è data dal prodotto dei cateti diviso due che possimo scrivere nel seguente modo:
![]()
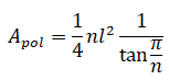
Se moltiplichiamo per 2n l'area del triangolo rettangolo preso in considerazione otteniamo l'area del poligono regolare.
![]()
Abbiamo cosí ottenuto l'area del poligono regolare in funzione dell'apotema e della tangente dell'angolo acuto di ampiezza Π/n. Se in quest'ultima formula sostituiamo l'apotema con RcosΠ/n si ottiene:
![]()
La formula dell'area del poligono regolare in funzione del raggio R e del seno dell'angolo acuto di ampiezza 2Π/n. Inoltre, sostituendo R con:
![]()
Nella formula:
![]()
Si ottiene:
![]()
Cioè la formula dell'area del poligono regolare in funzione del lato e della tangente dell'angolo acuto di ampiezza Π/n oppure in funzione del lato e della cotangente dell'angolo acuto di ampiezza Π/n.
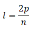
Infine, sostituendo l con:
![]()
Nella formula:
![]()
Si ottiene:
![]()
Cioè la formula dell'area del poligono regolare in funzione del semiperimetro e della tangente dell'angolo acuto di ampiezza Π/n.