L'ago di Buffon e pi greco
Si può ottenere un'approssimazione di pi greco con un esperimento aleatorio chiamato problema dell'ago di Buffon in onore di George Louis Leclerc conte di Buffon (1707-1788) che nel 1777 propose il seguente quesito:
Se lasciamo cadere in modo completamente casuale un ago su un foglio su cui sono state tracciate delle linee parallele (la cui distanza è di poco superiore alla lunghezza dell'ago), quale sarà la probabilità che l'ago tocchi una delle linee?
Nell'immagine sono riportate alcune posizioni che può assumere l'ago rispetto alle linee parallele.
![]()
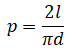
Se indichiamo con d la distanza tra le righe e con l la lunghezza dell'ago (l ≤ d in modo che l'ago non può intersecare due linee contemporaneamente) si può dimostrare che la probabilità p che l'ago intersechi una delle linee è esattamente:
![]()
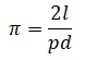
Risolvendo rispetto a pi greco si ottiene:
![]()
Ora, se lasciamo cadere casualmente un gran numero di volte un ago su un foglio su cui sono state tracciate delle linee paralle possiamo sperimentalmente determinare la probabilità p e quindi calcolare, mediante la formula un'approssimazione di pi greco. In teoria si potrebbe ottenere il valore esatto di pi greco lasciando cadere un ago un numero infinito di volte. Pertanto l'approssimazione del valore di pi greco con questo esperimento dipende esclusivamente dal numero delle cadute dell'ago. Ad esempio se si fa cadere 5000 volte un ago lungo 5 cm su un foglio con le linee distanti 6 cm e 2648 volte l'ago tocca una linea si si ottiene la seguente stima di pi greco:
![]()
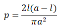
Pierre Simon Marques de Laplace (1749-1827) nel 1812 propose un quesito un pò più complesso denominato problema Buffon-Laplace:
Se lasciamo cadere in modo completamente casuale un ago di lunghezza l su un reticolo a maglie quadrate di lato a con a≥l qual è la probabilità che l'ago intersichi una linea? E qual è la probabilità che l'ago intersichi due linee?
![]()
La probabilità di intersecare una linea è:
![]()
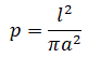
La probabilità di intersecare due linee è:
![]()