Pi greco e il radiante
In trigonometria e in analisi gli angoli vengono misurati in radianti che è definito come quell'angolo al centro della circonferenza che determina un arco uguale al raggio.
![]()
Se raddoppiamo l'angolo al centro della circonferenza si raddoppia anche il corrispondente arco e viceversa. Esiste quindi una corrispondenza biunivoca tra gli angoli al centro della circonferenza e gli archi corrispondenti. Questa corrispondenza permette di esprimere la misura dell'angolo con la misura dell'arco che gli corrisponde. Pertanto l'angolo giro, cioè l'intera circonferenza è un arco con un angolo di 2Π radianti, ne segue che un radiante misura:
![]()
Nella seguente tabella sono indicati alcuni angoli comuni sia in gradi sia in radianti:
![]()
Se consideriamo una circonferenza, centrata nell'origine degli assi cartesiani e con raggio pari a 1 (circonferenza trigonometrica) si possono definire tre funzioni trigonometriche principali (seno di x, coseno di x, tangente di x) che associano ad ogni angolo al centro e quindi ad ogni arco espresso in radianti un numero reale e altrettante funzioni inverse (arcoseno di x, arcocoseno di x, arcotangente di x) che associano ad ogni numero reale un arco espresso in radianti. Queste tre funzioni principali possono essere definite come lunghezze di segmenti:
![]()
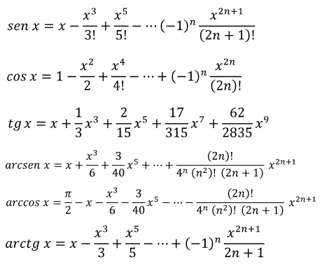
Oppure come serie infinite:
![]()