Fase geometrica
Con la civiltà ellenica la matematica ebbe uno sviluppo completamente nuovo; i primi matematici greci erano anche filosofi (Talete 624-547 a.C. Pitagora 540 a.C.) e quindi erano interessati soprattutto alle proprietà degli oggetti matematici e non alle loro applicazioni pratiche e questo interesse fu seguito anche dai successivi matematici ellenici. La matematica ebbe nuove fondamenti dove le proprietà delle figure anche quelle ovvie dovevano essere dimostrate con ragionamenti logici. Con i greci la matematica divenne una scienza deduttiva costituita da un ristretto numero di assiomi (proposizione accettate come vere senza dimostrazioni) e da un sistema di teoremi che vengono dimostrati tramite gli assiomi e i teoremi già dimostrati.
Con i greci continuò la ricerca del valore numerico di pi greco. Antifone (430 a.C.) ebbe l'idea che l'area di un cerchio possa essere approssimata dall'area dei poligoni regolari inscritti e che tali approssimazioni sono tanto migliori quanto più grande è il numero dei lati del poligono regolare.
![]()
Successivamente Brisone di Eraclea (450-390 a.C.) per approssimare l'area di un cerchio considerò due poligoni regolari uno inscritto e l'altro circoscritto allo stesso cerchio. In questo modo l'area del cerchio è compresa fra le aree dei due poligoni. Raddoppiando ripetutamente il numero dei lati dei due poligoni la differenza tra l'area del cerchio e quella dei poligoni tenderà a diminuire sempre di più.
![]()
Questo metodo utilizzato anche da Eudosso (intorno al 360 a.C.) e da Euclide (intorno al 300 a.C.) è chiamato esaustione perchè i poligoni inscritti o circoscritti, all'aumentare del numero dei lati, tendono ad "esaurire" il cerchio, tendono ad avere la stessa estensione del cerchio (e, nello stesso tempo, il contorno dei poligoni tende a "confondersi" con la circonferenza). Il primo ad occuparsi in modo sistematico e razionale del calcolo del valore di pi greco fu Archimede di Siracusa (287-212 a.C.) che ebbe l'idea di approssimare la lunghezza della circonferenza con i perimetri di poligoni regolari inscritti e circoscritti. Operando con poligoni regolari di 6, 12, 24, 48, 96 lati
![]()
fornì una stima sia per eccesso che per difetto del valore reale di pi greco:
La circonferenza di ogni cerchio è tripla del diametro, più una parte minore di un settimo del diametro e maggiore di dieci settantunesimi
![]()
Il primo valore è 3,1408…, il secondo valore è 3,1428… con un errore di circa 0.00026 sul valore medio.
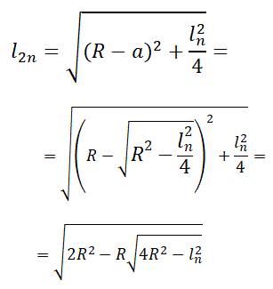
Archimede ebbe il pregio di capire che era impossibile determinare il valore esatto di Π e quindi indicò questo valore all'interno di un intervallo fra due numeri che poteva facilmente calcolare; i perimetri di due poligoni regolari aventi lo stesso numero di lati inscritto e circoscritto allo stesso cerchio. Bisogna tener presente che Archimede non riuscì ad andare oltre al poligono di 96 lati perchè non disponeva di una notazione posizionale per la scrittura dei numeri decimali nè di una notazione per le frazioni come la nostra nè le notazioni algebriche e trigonometriche nè di una calcolatrice e tutti i calcoli dovevano essere eseguiti "a mano" con carta e penna. Utilizzò semplicemente le proprietà geometriche delle figure e più volte il teorema di Pitagora. Per comprendere la difficoltà dei calcoli affrontati da Archimede ricaviamo la formula che mette in relazione il lato ln del poligono inscritto con n lati e il lato l2n del poligono inscritto con 2n lati. Consideriamo la seguente figura dove è stato tracciato metà del lato ln, il lato l2n e una parte della circonferenza ciroscritta ai due poligoni:
![]()
R è il raggio del cerchio circoscritto ai poligoni, ln è il lato del poligono di n lati, a è l'apotema del poligono con n lati, l2n è il lato del poligono di 2n lati. Applichiamo il teorema di Pitagora al triangolo rosso per calcolare a
![]()
Applichiamo il teorema di Pitagora al triangolo blu per calcolare l2n
![]()
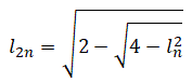
Sostituendo a si ottiene:
![]()
Se i poligoni sono inscritti in un cerchio di raggio unitario la formula diventa:
![]()
Con questa formula possiamo ora calcolare, utilizzando il metodo di Archimede un'approssimazione di pi greco per difetto perchè il perimetro di un poligono inscritto è sempre minore della lunghezza della circonferenza.
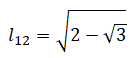
Se n = 6, ln è il lato dell'esagono regolare, l2n è il lato del dodecagono regolare e essendo il lato dell'esagono uguale al raggio del cerchio circoscritto si ha:
![]()
Pertanto il perimetro del dodecagono è:
![]()
e l'approssimazione di pi greco è:
![]()
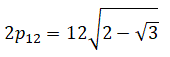
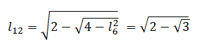
Se n = 12, ln è il lato del dodecagono regolare, l2n è il lato del poligono regolare di 24 lati e quindi si ha:
![]()
Sostituendo si ha:
![]()
e l'approssimazione di pi greco è:
![]()
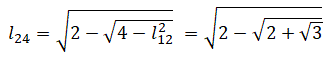
Se n = 24, ln è il lato del poligono regolare di 24 lati, l2n è il lato del poligono regolare di 48 lati e quindi si ha:
![]()
Sostituendo si ha:
![]()
e l'approssimazione di pi greco è:
![]()
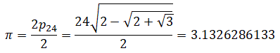
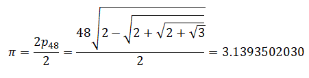
Se n = 48, ln è il lato del poligono regolare di 48 lati, l2n è il lato del poligono regolare di 96 lati e quindi si ha:
![]()
Sostituendo si ha:
![]()
e l'approssimazione di pi greco è:
![]()
Il metodo di Archimede venne utilizzato da molti matematici fino alla metà del XVII secolo usando poligoni regolari inscritti in un cerchio con un numero di lati sempre maggiori.
L'astronomo e matematico Claudio Tolomeo (100-170 d.C.) utilizzando un poligono regolare di 360 lati inscritto in un cerchio ottenne per pi greco il valore approssimato Π = 3,14167.
Una migliore approssimazione di pi greco fu fatta in Cina dal matematico Zu Chongzhi (429-500) che approssimando un cerchio con un poligono di 12.288 lati stabilì che il valore di pi greco stava tra3,1415926 < Π < 3,1415927
e fornì come approssimazione la frazione:
![]()
Passarono più di mille anni prima che in Europa venisse a conoscenza di questa scoperta.
L'introduzione del sistema posizionale decimale permise di poter calcolare le radici quadrate in modo più semplice e preciso tanto da dare la possibilità al matematico Francois Vieta (1540-1603) di utilizzare poligoni inscritti e circoscritti di 393.216 lati per calcolare ben nove cifre decimali esatte di pi greco:
![]()
Il matematico Ludolph van Ceulen (1540-1610) impiegò molti anni per determinare il valore approssimato di pi greco con 35 cifre decimali esatte utilizzando il metodo di Archimede con poligoni regolari con più di 32 miliardi di lati. A differenza di Archimede Ceulen partì da un quadrato sempre raddoppiando il numero dei lati, Anche in questo caso, considerando il cerchio di raggio unitario, si utilizza la formula di Archimede:
![]()
Applicando ripetutamente questa formula si ottiene:
![]()