Pi greco e la misurazione del tempo

Si racconta che Galileo Galileo, osservando le oscillazioni di un lampadario nel duomo di Pisa notò che la loro durata, misurata con il battito del polso, rimaneva costante anche se le ampiezze diminuivano sempre di più. Dopo alcuni anni ricordandosi di questa osservazione condusse una serie di esperimenti per studiare sistematicamente questo fenomeno e individuare la legge che regola il moto del pendolo. Prese quindi un corpo di massa m sospeso mediante un filo inestensibile di lunghezza l e massa trascurabile. E misurò il tempo delle oscillazioni spostando la massa dalla sua posizione verticale di equilibrio e poi lasciandola andare. Se si scompone la forza peso della massa nelle due componenti perpendicolare e parallela allo spostamento, s'intuisce che è solo la componente parallela a produrre il moto perchè la componente verticale è equilibrata dalla tensione del filo. E quindi, è questa forza che fa oscillare la massa da entrambe le parti rispetto alla sua posizione di equilibrio.

Poi ripetè l'esperimento variando la massa e non la lunghezza del filo e poi variando la lunghezza del filo ma non la massa. Questi esperimenti lo condussero a formulare la legge dell'isocronismo delle piccole oscillazioni:

  • Il periodo (tempo per compiere un'oscillazione completa) del pendolo, per piccole oscillazioni, non dipende dall'ampiezza delle oscillazioni.

  • Il periodo non dipende dalla massa appesa al filo.

  • Il periodo dipende dalla radice quadrata della lunghezza del filo e quindi, un pendolo con un filo lungo oscilla più lentamente di un pendolo con un filo corto.

Da tutto ciò si ottiene la seguente relazione dove compare pi greco:

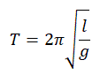
dove T è il periodo, l è la lunghezza del filo e g è l'accelerazione di gravità. Da questa relazione possiamo determinare il valore di pi greco oppure la misura dell'accelerazione di gravità oppure la lunghezza del pendolo affinchè si abbia un determinato tempo di oscillazione. Nel 1656 Christian Huygens (1629-1695), utilizzando la legge dell'isocronismo delle piccole oscillazioni costruí il primo orologio a pendolo che ebbe molto successo essendo più preciso rispetto agli orologi precedenti.



© giuseppe sarnataro