Metodo di Archimede e la trigonometria
Vediamo con l'aiuto delle funzioni goniometriche il procedimento utilizzato da Archimede per stimare il valore di pi greco mediante poligoni regolari inscritti e circoscritti ad un cerchio. Dei due poligoni inscritto e circoscritto di n lati consideriamo l'arco di cerchio di raggio unitario e di ampiezza 2Π/n e un solo lato di ciscun poligono.
![]()
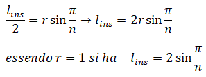
Se consideriamo il triangolo rettangolo OED si ha:
![]()
e il perimetro del poligono inscritto è:
![]()
Se consideriamo il triangolo rettangolo OFB si ha:
![]()
Possiamo quindi scrivere:
![]()
Costruiamo una tabella dei perimetri degli n-agoni regolari inscritti e circoscritti in un cerchio di raggio unitario e riportiamo i valori in un sistema cartesiano:
![]()
![]()
Vediamo che i perimetri dei poligoni circoscritti e inscritti tendono ad avvicinarsi, al crescere di n, a quello della lunghezza della circonferenza. Se dividiamo per due la disequazione precedente possiamo scrivere:
![]()
e costruire la tabella:
![]()
Come si vede con l'aiuto della trigonimetria e di un computer diventa molto semplice effettuare una stima di pi greco.