Formule per approssimare pi greco

Vediamo alcune delle tantissime formule che sono state scoperte per approssimare il valore di pi greco:

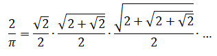
Francois Vieta:



John Wallis:



Isaac Newton:



Eulero:



Srinivasa Ramanujan:



Fabrice Bellard:



Bailey-Borwein-Plouffe:



© giuseppe sarnataro