Indice
Introduzione
Punti, rette e segmenti nel piano di Moulton
I due assiomi
Distanza fra due punti di Moulton
Gli angoli nel piano di Moulton
Rette perpendicolari nel piano di Moulton
Triangoli di Moulton
Triangolo di Moulton particolare
Non vale il teorema di Desargues
Non vale il teorema di Pappo-Pascal
Quadrilateri di Moulton
Movimento rigido nel piano di Moulton
Triangolo di Moulton particolare
Consideriamo il triangolo ABO di Moulton con A(2, -2), C(4/5, 2/5), O(0, 0) in figura:
![]()
Il lato OB è sulla retta di Moulton:
![]()
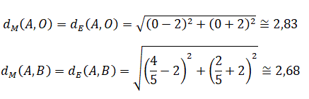
Questo triangolo è birettangolo perchè ha due angoli retti; nel piano euclideo non possono esistere triangoli birettangoli. Nel piano euclideo un triangolo con due angoli interni uguali è un triangolo isoscele e quindi in questo caso si dovrebbe avere AB = AO. Verifichiamo:
![]()
I due lati non sono uguali tra loro e quindi il triangolo non è isoscele. Nel piano euclideo un qualsiasi angolo esterno di un triangolo è maggiore di ciascuno dei due angoli interni ed opposti e questo non vale nel nostro triangolo come si vede dalla figura:
![]()
Nel piano euclideo se una retta che incide su due rette forma gli angoli alterni uguali tra loro, le rette saranno parallele tra loro e quindi le due rette AB e AO dovrebbero essere parallele invece nel piano di Moulton si intersecano nel punto A.
Nel piano euclideo le tre altezze di un triangolo rettangolo si incontrano in un vertice che è anche il vertice dell'angolo di 90°. Nel triangolo birettangolo di Moulton le altezze sono quattro:
![]()
e come si vede dalla figura sono: AO, AB, OB E BC e l'altezza aggiuntiva AO non passa per l'ortocentro.