Indice
Introduzione
Punti, rette e segmenti nel piano di Moulton
I due assiomi
Distanza fra due punti di Moulton
Gli angoli nel piano di Moulton
Rette perpendicolari nel piano di Moulton
Triangoli di Moulton
Triangolo di Moulton particolare
Non vale il teorema di Desargues
Non vale il teorema di Pappo-Pascal
Quadrilateri di Moulton
Movimento rigido nel piano di Moulton
I due assiomi
Anche nel piano di Moulton continua a valere l'assioma:
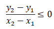
Per ogni coppia di punti distinti A e B esiste una e una sola retta r tale che A e B stanno su r.Se per una coppia distinta di punti A(x1, y1) e B(x2, y2) si ha:
![]()
allora si cade nei casi euclidei di rette orizzontali o di rette con una medesima pendenza negativa e quindi i punti A e B appartengono ad una e una sola retta di equazione:
![]()
Anche per ogni coppia distinta A(x1, y1) e B(x1, y2) si cade nel caso euclideo di rette verticali e quindi i punti A e B appartengono ad una e una sola retta di equazione x = x1.
In tutti gli altri casi l'unica retta che passa per i punti A e B ha per equazione il sistema:
![]()
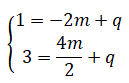
Ad esempio determiniamo l'unica retta r che passa per i punti A(-2, 1) e B(4, 3).
Sostituendo nel sistema le incognite con le coordinate di A e di B si ottiene:
![]()
che ha per soluzione m = 1/2 e q = 2 e la retta ha per equazione:
![]()
Ed ecco la rappresentazione grafica:
![]()
Nel piano di Moulton continua a valere anche l'assioma:
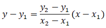
Per un punto non su una retta data passa una sola parallela alla retta.Per le rette orizzontali e per le rette con una medesima pendenza negativa si cade nei casi euclidei, per cui se la retta data ha equazione y = mx + q per il punto esterno A(x1, y1) passa l'unica retta parallela con lo stesso coefficiente angolare m di equazione:
y - y1 = m(x - x1)
Esaminimo il caso di una retta con pendenza positiva ad esempio, la retta passante per i punti C(-1, 1) e D(2, 2) ha per equazione:
![]()
La parallela (unica) per il punto E(-2,3) parallela alla precedente retta ha per equazione:
![]()
Ed ecco la rappresentazione grafica:
![]()
Come si vede le due rette rifratte parallele hanno la stessa pendenza a sinistra dell'asse y e uguale pendenza a destra dell'asse y.