Indice
I mattoncini dei numeri naturali
I numeri primi sono infiniti?
Una tabella di numeri primi
Numeri primi di Fermat
Numeri primi di Mersenne
Numeri pefetti
Una formula per i numeri primi
Funzione φ(n) di Eulero
Congruenza
Il piccolo teorema di Fermat
Il teorema di Wilson
Distribuzione dei numeri primi
Alcuni problemi irrisolti
Funzione φ(n) di Eulero
Dati due numeri naturali a e b maggiori di zero, viene detto massimo comune divisore di a e b il più grande dei divisori comuni ad a e b e tale numero viene indicato con il simbolo
MCD(a, b)
Ad esempio, determiniamo il massimo comune divisore di 18 e 30. I divisori di 18 sono:
1, 2, 3, 6, 9, 18
I divisori di 30 sono:
1, 2, 3, 5, 6, 10, 15, 30
i divisori comuni sono:
1, 2, 3, 6
Il più grande divisore è 6 e quindi:
MCD(18, 30) = 6
![]()
La ricerca del MCD(a, b) può essere resa più semplice scomponendo in fattori primi a e b. Ad esempio, scomponiamo in fattori primi 18 e 30
18 = 2⋅32;   30 = 2⋅3⋅5
Ora, il massimo comune divisore è dato dal prodotto dei fattori primi comuni, presi con l'esponente più piccolo e nel nostro caso sono il 2 e il 3 e quindi:
MCD(18, 30) = 2 ⋅ 3 = 6
Se i due numeri a e b non hanno nessun fattore primo in comune allora il loro massimo comune divisore è uguale a 1 in tal caso i numeri a e b si dicono primi tra loro oppure coprimi. Ad esempio, 15 e 28 non avendo fattori primi in comune sono coprimi e MCD(15, 28) = 1.
Eulero introdusse una nuova relazione detta funzione di Eulero indicata con la notazione φ(n) si legge phi di n:
Per ogni intero n positivo φ(n) è il numero di interi compresi tra 1 e n che sono coprimi con n.
Ad esempio, φ(18) = 6 perchè i numeri minori o uguali a 18 e relativamente primi con 18 sono 1, 5, 7, 11, 13, 17. Ecco ad esempio, i valori della funzione φ(n) per alcuni valori di n .
![]()
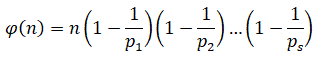
In partiicolare se n = p dove p è un numero primo allora:
φ(p) = p - 1
La funzione φ(n) possiede particolari proprietà:
Se a e b sono due numeri coprimi allora:
φ(a ⋅ b) = φ(a) ⋅ φ(b)
Ad esempio, 52 = 4 ⋅ 13 e 4 e 13 sono coprimi e quindi:
φ(52) = φ(4 ⋅ 13) = φ(4) ⋅ φ(13) = 2 ⋅ 12 = 24
Se p è un numero primo allora per ogni h≥1 intero si ha:
φ(ph) = ph - ph-1
Ad esempio, per 25 si ha:
φ(25) = 25 - 25-1 = 32 - 16 = 16
Infatti i numeri relativamente primi con 25 = 32 sono:
1,3,5,7,9,11,13,15,17,19,21,23,25,27,29,31.
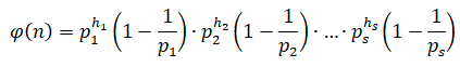
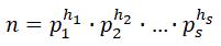
Utilizzando queste due proprietà possiamo facilmente calcolare qualsiasi φ(n) per ogni n naturale del quale si conosca la fattorizzazione. Infatti, se
![]()
Possiamo scrivere
![]()
E se raccogliamo a fattor comune la potenza massima all'interno di ogni parentesi si ottiene:
![]()
Cioè
![]()
Ad esempio, calcoliamo φ(120). La scomposizione in fattori primi di 120 è:
120 = 23 ⋅ 3 ⋅ 5
Per cui:
![]()
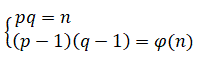
La funzione φ(n) ha molte applicazioni. Ad esempio, se un numero intero positivo n è prodotto di due primi distinti, la conoscenza di φ(n) consente di poter fattorizzare n. Infatti, se n = p ⋅ q, allora si ha
φ(n) = (p - 1)(q - 1)
e risolvendo il sistema
![]()
si determina p e q e quindi la fattorizzazione di n. Ad esempio, se n=2867 e φ(2867)=2760 sapendo che n=p⋅q e risolvendo il sistema
![]()
si ottiene p=47 e q=61 e quindi 2867=47⋅61.