Indice
I mattoncini dei numeri naturali
I numeri primi sono infiniti?
Una tabella di numeri primi
Numeri primi di Fermat
Numeri primi di Mersenne
Numeri pefetti
Una formula per i numeri primi
Funzione φ(n) di Eulero
Congruenza
Il piccolo teorema di Fermat
Il teorema di Wilson
Distribuzione dei numeri primi
Alcuni problemi irrisolti
Distribuzione dei numeri primi
Euclide intorno al 300 a.C. dimostrò che i numeri primi sono infiniti eppure osservando una tavola dei numeri primi ci si rendeva conto che questi numeri sono inprevedibili e non si manifesta alcun indizio per stabilire la relazione tra due primi consecutivi. Nonostante ciò, data l'importanza dei numeri primi nella costruzione degli altri numeri, i matematici da sempre si sono adoperati per trovare una formula semplice che generasse tutti i numeri primi o almeno una legge per cui, dato un primo pn, fosse possibile trovare un primo successivo pn+1. Tutti questi tentativi hanno condotto solo a individuare particolari insiemi numerici che contengono sia infiniti numeri primi sia infiniti numeri composti. Una strada nuova fu intrapresa da Gauss che invece di cercare la formula magica della sequenza dei numeri primi cercò una formula in grado di stimare quanti fossero i numeri primi inferiori o uguali a un dato numero. Basandosi sulle tavole dei numeri primi costatò che quelli inferiori a 10 sono 4, quelli inferiori a 100 sono 25, quelli inferiori a 1000 sono 168 e quelli inferori a 10.000 sono 1229 e indicò questi numeri mediante la funzione Π(n):
Π(10) = 4; Π(100) = 25; Π(1000) = 168; Π(10.000) = 1229
Poi osservò che il rapporto tra n e il logaritmo naturale di n forniva una buona stima approsimata per Π(n),
![]()
Infatti:
![]()
In base a questi calcoli Gauss nel 1792 formulò l'ipotesi che Π(n), per valori molto grandi di n, sia asintoticamente uguale a n/Ln n. Quello che sorprende è la scoperta imprevedibile di Gauss che da pochi indizi aveva intuito una connessione tra due entità completamente diverse: la funzione che fornisce il numero dei primi in un dato intervallo e la funzione logaritmo naturale. Gauss non riuscí a dimostrare questa sua congettura per cui non la rese pubblica. Avendo a disposizione tavole di numeri primi in intervalli più ampi fu possibile osservare che la formula di Gauss, per valori molto grandi di n, tende sempre di più a discostarsi dai valori reali di Π(n). Il matematico francese Adrien-Marie Legendre (1752-1833) nel 1798 apportò una lieve modifica alla formula di Gauss che ebbe l'effetto di migliorare l'approssimazione del numero di numeri primi minore di n e quindi di avvicinare di più il valore teorico al valore reale. Ecco la formula di Legendre:
![]()
Infatti per n = 10.000 si ottiene:
![]()
Per n = 100.000, Π(100.000) = 9.592 e con la formula di legendre si ottiene:
![]()
Ciò che stonava nella formula di Legendre era quel misterioso numero correttivo 1,08366 senza nessun nesso. Successivamente Gauss perfezionò la sua formula ottenedo una stima approssimativa migliore di quella di Legendre:
![]()
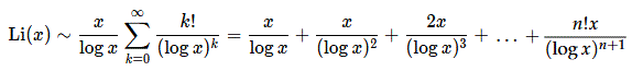
dove Li(x) è detto logaritmo integrale ed è uguale a:
![]()
Questa congettura è stata dimostrata per la prima volta indipendentemente da Hadamard e de la Vallè e Poussin nel 1896 ed è stata chiamata Teorema dei numeri primi.