Indice
Equazioni di secondo grado
La risoluzione di un'equazione di secondo grado
Le equazioni di secondo grado incomplete
Relazioni fra le radici e i coefficienti
Regola di Cartesio
Scomposizione di un trinomio di secondo grado
Equazioni di secondo grado fratte
Equazioni letterali di secondo grado
Il grafico della funzione quadratica
Equazione di secondo grado e modello matematico
Equazioni letterali di secondo grado
Le equazioni di secondo grado in cui i coefficienti sono espressioni letterali sono dette equazioni letterali o parametriche perchè tali coefficienti rappresentano numeri aventi valore costante ma non indicato. Quando si determinano le soluzioni di un'equazione letterale bisogna discutere come variano le soluzioni dell'equazione al variare dei valori assunti dai parametri che in essa compaiono. In altre parole bisogna stabilire per quali valori dei parametri l'equazione parametrica:
perde di significato;
si abbassa di grado;
ammette rispettivamente radici reali e distinte oppure reali e coincidenti oppure non ammette soluzioni reali.
Presentiamo alcuni esempi di risoluzioni di equazioni parametriche:
Esempio 1: Risolviamo l'equazione
kx2 + x + 4k = 0
Osserviamo innanzitutto che se k = 0 l'equazione si abbassa di grado diventando x = 0 e quindi ha un'unica soluzione.
Supponendo k ≠ 0 calcoliamo il discriminante:Δ = 12 −4k(4k) = 1 −16k2 = (1 + 4k)(1 − 4k)
e studiamo il segno del discriminante mediante il seguente grafico:
![]()
Dal grafico si osserva che:
Se k è compreso tra
![]()
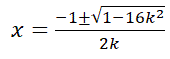
ed è diverso da zero il discriminante è maggiore di zero e l'equazione ha le due soluzioni reali che sono
![]()
Se k = − 1/4 si ha Δ = 0 e l'equazione ha l'unica soluzione x = 2.
Se k = 1/4 si ha Δ = 0 e l'equazione ha l'unica soluzione x=−2.
Se infine k < − 1/4 oppure k > 1/4 l'equazione non ha soluzione reali.
Riassumendo:
![]()
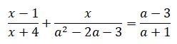
Esempio 2: Risolviamo l'equazione
![]()
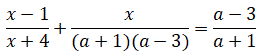
Riscriviamo l'equazione nella forma equivalente
![]()
Discussione sui parametri:
se a = −1 oppure a = 3, l'equazione perde significato e quindiC.E.: a ≠ −1 ∨ a ≠ 3
Discussione sulle incognite ai denominatori:
Per x = −4 si annulla il denominatore della prima frazione e quindi bisogna che sia x ≠ −4 (condizione di accettabilità dell'incognita).
Tenendo conto delle condizioni di esistenza e di accettabilità eliminiamo i denominatori moltiplicando il primo e il secondo membro per il m.c.d. che è(x+4)(a+1)(a−3)
Dopo eseguiti i calcoli si ha
![]()
Calcoliamo il discriminante
![]()
Osserviamo che il discriminante:
è sempre positivo o nullo;
per a ≠ 7/3 è maggiore di zero e l'equazione ha per soluzioni
![]()
occorre, ora discutere le soluzioni trovate escludendo quei valori di a per cui sia ha x = −4.
![]()
questi valori di a sono già stati esclusi dalla C.E. pertando le soluzioni sono entrambe accettabili.
per a = 7/3 il discriminante è nullo e l'equazione ha le due soluzioni coincidenti
x1=x2=−2/3
Riassumendo:
a = −1 oppure a = 3 l'equazione perde significato
a ≠ −1 ∧ a ≠ 3 ∧ a ≠ 7/3 due soluzioni reali distinte x1=a−1; x2=11−5a
a=7/3 due soluzioni reali coincidenti x1=x2=−2/3Esempio 3: Data l'equazione
x2 −(k − 2)x −k + 5 = 0
determinare k in modo che
una radice sia 2
le radici siano coincidenti
una radice sia reciproca dell'altra
la somma dei reciproci delle radici sia 4
Soluzione:
Se una radice è uguale a 2 possiamo imporre x = 2 nell'equazione parametrica e determinare il valore di k.22 −(k − 2)2 −k + 5 = 0
4 −2k + 4 −k + 5 = 0
−3k + 13 = 0
k = 13/3
Affinchè le radici siano coincidenti dovrà essere Δ = 0.
(k − 2)2 −4(−k+5) = 0
k2 + 4 −4k + 4k −20 = 0
k2 = 16
k = ± 4
Una radice sia reciproca dell'altra, cioè
![]()
La somma dei reciproci delle radici sia 4, cioè
![]()