Indice
Equazioni di secondo grado
La risoluzione di un'equazione di secondo grado
Le equazioni di secondo grado incomplete
Relazioni fra le radici e i coefficienti
Regola di Cartesio
Scomposizione di un trinomio di secondo grado
Equazioni di secondo grado fratte
Equazioni letterali di secondo grado
Il grafico della funzione quadratica
Equazione di secondo grado e modello matematico
La risoluzione di un'equazione di secondo grado
Per le equazioni di secondo grado complete in una incognita esiste una formula risolutiva che permette di ottenere le soluzioni in funzione dei soli coefficienti. Vediamo il procedimento che ci permette di scoprirla applicando i due principi di equivalenza delle equazioni e le regole del calcolo letterale.
Primo passo
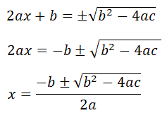
Si moltiplicano tutti i termini, dell'equazione di secondo grado ridotta in forma normale, per 4a e si porta al secondo membro il termine noto.4a2x2 + 4abx = −4ac
Secondo passo
Si aggiunge a entrambi i membri b24a2x2 + 4abx + b2 = b2 −4ac
Essendo il primo membro dell'equazione il quadrato di un binomio si può scrivere
(2ax + b)2 = b2 −4ac
Terzo passo
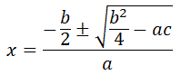
L'espressione al primo membro è sempre positiva o nulla essendo un quadrato (a e b sono diversi da zero) quindi, l'equazione ammette soluzioni reali solo se anche l'espressione al secondo membro è positiva o nulla. Seb2 −4ac ≥ 0
si può estrarre la radice algebrica:
![]()
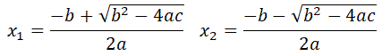
Siamo così pervenuti alla formula risolutiva dell'equazione di secondo grado e le due soluzioni reali sono:
![]()
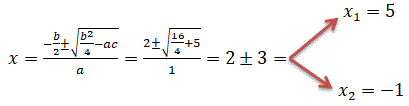
Ad esempio applichiamo la formula risolutiva per determinare le soluzioni dell'equazione completa:
3x2 − 4x + 1 = 0
a = 3, b = −4, c = 1
![]()
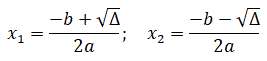
L'espressione b2 −4ac viene chiamata discriminante dell'equazione ed è indicata con la lettera greca maiscola Δ (si legge delta).
Δ = b2 −4ac
Nella risoluzione di un'equazione di secondo grado possono presentarsi tre casi che dipendono dal valore del discriminante:
Δ > 0
Il radicalerappresenta un numero reale positivo e dunque l'equazione ammette due soluzioni reali distinte:
![]()
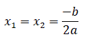
Δ = 0
Il radicalevale zero e dunque l'equazione ammette due radici coincidenti:
![]()
Δ < 0
Il radicaleperde di significato e quindi l'equazione non ha soluzioni reali.
Riassumendo:
![]()
Ad esempio l'equazione:
2x2 + 8x + 6 = 0 ha il discriminante positivo (Δ=64−48=16) e quindi ha due radici reali distinte e applicando la formula risolutiva si trova:
x1 = − 1 e x2 = − 3
9x2 − 12x + 4 = 0 ha il discriminante nullo (Δ=144−144=0) e quindi ha due radici reali coincidenti e applicando la formula risolutiva si trova
x1=x2=2/3
5x2 − 4x + 1 = 0 ha il discriminante negativo (Δ=16−20=−4) e quindi non ha soluzioni reali.
Se nell'equazione ax2 + bx + c = 0 il coefficiente b è un numero pari si può usare la formula risolutiva ridotta:
![]()
Ad esempio, l'equazione
x2 − 4x − 5 = 0
ha il coefficiente b = −4 (che è pari) e il discriminante positivo e quindi si può applicare la formula ridotta:
![]()