Indice
Equazioni di secondo grado
La risoluzione di un'equazione di secondo grado
Le equazioni di secondo grado incomplete
Relazioni fra le radici e i coefficienti
Regola di Cartesio
Scomposizione di un trinomio di secondo grado
Equazioni di secondo grado fratte
Equazioni letterali di secondo grado
Il grafico della funzione quadratica
Equazione di secondo grado e modello matematico
Scomposizione di un trinomio di secondo grado
Con le conoscenze acquisite sulle equazioni di secondo grado in una incognita, ora è possibile stabilire se un trinomio di secondo grado sia scomponibile nel prodotto di due fattori di primo grado. Consideriamo un generico trinomio di secondo grado nella variabile x:
ax2 + bx + c
Se la corrispondente equazione associata (che si ottiene uguagliando a zero il trinomio)
ax2 + bx + c = 0
ha il discriminante non negativo, allora l'equazione ammette due soluzioni reali x1 e x2 (eventualmente coincidenti) che sono anche gli zeri del trinomio. Pertanto il trinomio si scompone nel seguente modo:
ax2 + bx + c = a(x − x1)(x − x2)
Ecco tutti i passaggi che giustificano la scomposizione del trinomio:
![]()
Se il discriminante dell'equazione associata è negativo l'equazione non ha radici reali e quindi il trinomio non ha zeri reali ed è irriducibile in R.
Riassumendo:
![]()
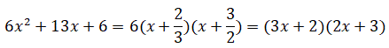
Ad esempio, scomponiamo in fattori di primo grado il trinomio 6x2 + 13x + 6
L'equazione associata 6x2 + 13x + 6 = 0 ha il discriminante positivo Δ=169−144=25 e quindi ha due soluzioni reali:
![]()
Quindi il trinomio si scompone in:
![]()