Indice
Equazioni di secondo grado
La risoluzione di un'equazione di secondo grado
Le equazioni di secondo grado incomplete
Relazioni fra le radici e i coefficienti
Regola di Cartesio
Scomposizione di un trinomio di secondo grado
Equazioni di secondo grado fratte
Equazioni letterali di secondo grado
Il grafico della funzione quadratica
Equazione di secondo grado e modello matematico
Relazioni fra le radici e i coefficienti
Se il discriminante, di un'equazione di secondo grado, non è negativo dalla formula risolutiva possiamo ottenere altre due utili relazioni che legano le radici x1 e x2 con i coefficienti a, b, c dell'equazione in forma normale.
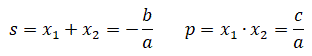
Somma delle radici.
Indichiamo con s la somma x1 + x2
![]()
La somma delle radici è uguale al rapporto, cambiato di segno tra i coefficienti b e a.
Prodotto delle radici.
Indichiamo con p il prodotto x1 ⋅ x2
![]()
Il prodotto delle radici è uguale al rapporto tra i coefficienti c e a.
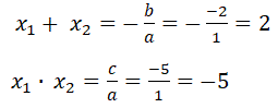
Queste due relazioni permettono, quindi, di determinare la somma s e il prodotto p delle soluzioni di un'equazione di secondo grado utilizzando i coefficienti, senza dover risolvere l'equazione. Ad esempio determiniamo la somma e il prodotto delle radici dell'equazione:
x2 − 2x − 5 = 0
![]()
Si può fare la verifica determinando le due radici con la formula risolutiva:
![]()
e come si può notare la somma e il prodotto delle radici corrispondono a quelle determinate precedentemente.
![]()
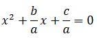
Potendo dividere per a i due membri di un'equazione completa di secondo grado in forma normale:
![]()
e tenendo presente che:
![]()
si può scrivere:
x2 − sx + p = 0
Quest'ultima scrittura di un'equazione di secondo grado permette di risolvere alcuni tipi di problemi:
Trovare un'equazione di secondo grado che ha per soluzioni due numeri dati.
Ad esempio, trovare l'equazione che ha per radici i numeri 4 e −3.
Basta considerare s = 4 − 3 = 1 e p = 4 ⋅ (−3) = −12 e scrivere:x2 − x − 12 = 0
Trovare due numeri di cui si conoscono la somma e il prodotto.
Ad esempio trovare, se esistono, due numeri reali che abbiano per somma 9 e per prodotto 20.
I numeri cercati, se esistono, sono le soluzioni dell'equazione:x2 − 9x + 20 = 0
Il discriminante dell'equazione non è negativo e l'equazione ammette le due radici x1 = 4 e x2 = 5.