Indice
Equazioni di secondo grado
La risoluzione di un'equazione di secondo grado
Le equazioni di secondo grado incomplete
Relazioni fra le radici e i coefficienti
Regola di Cartesio
Scomposizione di un trinomio di secondo grado
Equazioni di secondo grado fratte
Equazioni letterali di secondo grado
Il grafico della funzione quadratica
Equazione di secondo grado e modello matematico
Equazione di secondo grado e modello matematico
La funzione quadratica associata alla equazione di secondo grado rappresenta un modello matematico utilizzato per risolvere e simulare alcuni fenomeni naturali. Se osserviamo lo zampillo di una fontana
![]()
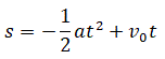
vedremo che l'acqua (o meglio le molecole di acqua) quando escono dall'ugello con una velocità iniziale v0 si muovono seguendo una traettoria a forma di parabola. Le molecole di acqua uscendo dall'ugello si muovono prima verso l'alto con velocità decrescente a causa della forza di gravità che si oppone al moto (l'accelerazione di gravità ha direzione opposta a quella del moto), raggiungono il punto di altezza massima quando la velocità è zero e poi ricadono verso il basso con velocità crescente perchè, questa volta, l'accelerazione di gravità ha la stessa direzione del moto. Se chiamiamo s la distanza della molecola d'acqua dall'ugello, v0 la velocità iniziale e t il tempo trascorso dall'istante in cui l'acqua esce dall'ugello è chiaro che la distanza s varia al variare di t e dipende naturalmente dalla velocità iniziale. La distanza s, inizialmente uguale a zero, prima cresce, fino a raggiungere il suo massimo, poi decresce fino a tornare a zero (quando l'acqua ricade a terra). Il modello matematico che rappresenta la situazione (moto uniformemente accelerato) è fornito dall'equazione di secondo grado nella variabile t.
![]()
dove s, t e v0 hanno il significato che si è detto ed a è l'accelerazione di gravità pari a 9,8 m/s2. A partire da questo modello possiamo conoscere, fissata la velocità iniziale il tempo durante il quale una molecola d'acqua resta in aria prima di cadere a terra oppure fissata la velocità iniziale possiamo conoscere a che distanza si trova la molecola d'acqua dall'ugello dopo un determinato tempo oppure fissata la distaza e il tempo di caduta possiamo conoscere a quale velocità iniziale deve uscire la molecola d'acqua dall'ugello. Questo modello può essere applicato in molte altre situazioni. Ecco alcuni esempi:
Un calcio di punizione battuto durante una partita di calcio.
![]()
Il lancio di una palla da basket per fare canestro.
![]()
Un proiettile sparato da un cannone.
![]()